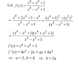
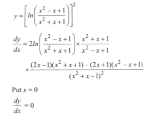
Mathematics (NDA/NA SOLVED PAPER 2022-II) (51 to 100)Total Questions: 5031. What is the area of the region bounded by x - |y| = 0 and x - 2 = 0 ?(a) 1(b) 2(c) 4(d) 8Correct Answer: (c) 4Solution:32. Find the value?(a) f (α - β)(b) f (α + β)(c) f (α) f(β)(d) f (αβ)Correct Answer: (b) f (α + β)Solution:33. If f(x) = ln(x + √1 + x², then which one of the following is correct?(a) f(x) + f(-x) = 0(b) f(x) - f(-x) = 0(c) 2f(x) = 2f (-x)(d) f(x) = 2f (-x)Correct Answer: (a) f(x) + f(-x) = 0Solution:34. Find the value?(a) 1/ 2(√2(b) -1/ 2(√2(c) √2(d) Limit does not existCorrect Answer: (d) Limit does not existSolution:35. Find the value?(a) -4(b) -2(c) 2(d) 4Correct Answer: (a) -4Solution:36. Find the value?(a)(b)(c)(d)Correct Answer: (d)Solution:37. Find the value?(a) sin²x(b) cos²x(c) sin2x(d) cos2xCorrect Answer: (c) sin2xSolution:38. Find the value?1. h`(3) = 0 2. h(1) = h(2) Which of the statements given above is/are correct?(a) 1 only(b) 2 only(c) Both 1 and 2(d) Neither 1 nor 2Correct Answer: (c) Both 1 and 2Solution:39. equal to?(a) -2(b) 0(c) 1(d) 2Correct Answer: (b) 0Solution:40. Find the value?(a) a = b(b) a = 2b(c) a + b = 0(d) 2a = bCorrect Answer: (d) 2a = bSolution:Submit Quiz« Previous12345Next »