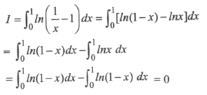
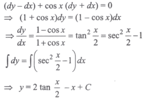
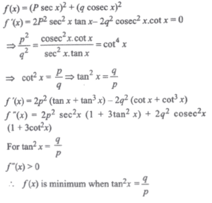
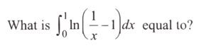
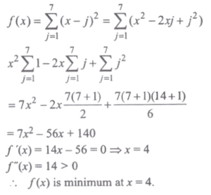
Mathematics (NDA/NA SOLVED PAPER 2022-II) (51 to 100)Total Questions: 5041. Under which one of the following conditions does the function f(x) = (p sec(x)²+ (q cosec(x)² attain minimum value?(a) tan²x = q/p(b) cot²x = q/p(c) tan²x = pq(d) cot²x = pqCorrect Answer: (a) tan²x = q/pSolution:42. Find the value?(a) x = 3.5(b) x = 4(c) x = 4.5(d) x = 4Correct Answer: (b) x = 4Solution:43. Consider the following statements in respect of the function1. The function attains maximum value only at x = 3 2. The function attains local minimum only at x = 0 Which of the statements given above is/are correct?(a) 1 only(b) 2 only(c) Both 1 and 2(d) Neither 1 nor 2Correct Answer: (b) 2 onlySolution:44. equal to?(a) -1(b) 0(c) 1(d) ln2Correct Answer: (b) 0Solution:45. Find the value?(a) k(b) 10 k(c) 20 k(d) 40 kCorrect Answer: (d) 40 kSolution:(d)46. equal to?(a)(b)(c)(d)Correct Answer: (a)Solution:47. What is the area of the region enclosed in the first quadrant by x² + y² = π², y = sin x and x = 0?(a)(b)(c)(d)Correct Answer: (b)Solution:48. Consider the following statements :Which of the statements given above is/are correct?(a) 1 only(b) 2 only(c) Both 1 and 2(d) Neither 1 nor 2Correct Answer: (b) 2 onlySolution:49. What is the differential equation of the family of parabolas having vertex at origin and axis along positive y-axis?(a)(b)(c)(d)Correct Answer: (b)Solution:50. What is the solution of the differential equation (dy - dx) + cos x(dy + dx) = 0?(a)(b)(c)(d)Correct Answer: (c)Solution:Submit Quiz« Previous12345