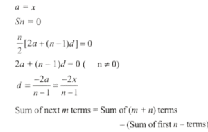
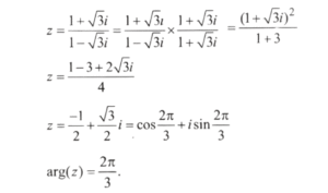
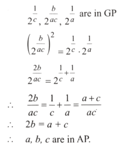
Mathematics (NDA/NA SOLVED PAPER 2023-I) (01 to 50)Total Questions: 5011. If 2 -i√3 where i = √-1 is a root of the equation x² + ax + b = 0, then what is the value of (a + b)?(a) -11(b) -3(c) 0(d) 3Correct Answer: (d) 3Solution:12. Find value?(a) π/3(b) 2π/3(c) 4π/3(d) 5π/6Correct Answer: (b) 2π/3Solution:13. If a,b,c are in AP, then what is(a) -1(b) 0(c) 1(d) 2Correct Answer: (b) 0Solution:14. If logxa, ax and logbx are in G.P, then what is x equal to?(a)(b)(c)(d)Correct Answer: (c)Solution:15. Find ?(a) a, b, c are in AP(b) a, b, c are in GP(c) a, b, c are in HP(d) ab, bc, ca are in APCorrect Answer: (a) a, b, c are in APSolution:16. The first and the second terms of an AP are 5/2 and 23/12 respectively. If nᵗʰ terms is the largest negative term, what is the value of n?(a) 5(b) 6(c) 7(d) n cannot be determinedCorrect Answer: (b) 6Solution:17. For how many integral values of k, the equation x² - 4x + k = 0, where k is an integer, has real roots and both of them he in the interval (0, 5)?(a) 3(b) 4(c) 5(d) 6Correct Answer: (b) 4Solution:18. In an AP, the first term is x and the sum of the first n terms is zero. What is the sum of next m terms?(a)(b)(c)(d)Correct Answer: (b)Solution:19. Consider the following statements:1. (25)! +1 is divisible by 26| 2. (6)! + 1 is divisible by 7 Which of the above statement is/are correct?(a) 1 only(b) 2 only(c) Both 1 and 2(d) Neither 1 nor 2Correct Answer: (b) 2 onlySolution:20. If z is a complex number such that (z - 1)/(z + 1) is purely imaginary, then what is |z| equal to?(a) 1/2(b) 2/3(c) 1(d) 2Correct Answer: (c) 1Solution:Submit Quiz« Previous12345Next »