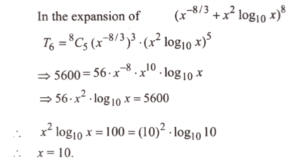
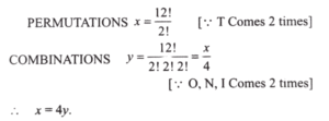
Mathematics (NDA/NA SOLVED PAPER 2023-I) (01 to 50)Total Questions: 5021. How many real numbers satisfy the equation |x - 4| + |x - 7| = 15 ?(a) Only one(b) Only two(c) Only three(d) Infinitely manyCorrect Answer: (b) Only twoSolution:22. equal to?(a)(b)(c)(d)Correct Answer: (d)Solution:23. α and β are distinct real roots of the quadratic equation x²+ ax + b = 0. Which of the following statements is/are sufficient to find α?1. α + β = 0, α² + β² = 2 2. αβ² = -1, a= 0 Select the correct answer using the code given below:(a) 1 only(b) 2 only(c) Both 1 and 2(d) Neither 1 nor 2Correct Answer: (b) 2 onlySolution:x² + ax + b = 0 (i) α + β = 0 ⇒ β = -α α² + β² = 2 (α + β)² - 2 αβ = 2 αβ = -1 ⇒ α . (-α) = -1 ⇒ α² = 1 In statement (1), finding the value of α is completely Independent of the given equation x² + ax + b = 0 Hence it is not correct.(ii) αβ² = -1 a = 0 ⇒ α + β = 0 ⇒ β = -α α(-α)² = -1 ⇒ a³ = -1 ⇒ α = -1 Only 2 is sufficient.24. Find the value?(a) 6(b) 8(c) 9(d) 10Correct Answer: (d) 10Solution:25. How many terms are there in the expansion of (3x - y)⁴ (x + 3y)⁴ ?(a) 9(b) 12(c) 15(d) 17Correct Answer: (a) 9Solution:26. p, q, r and s are in AP such that p + s = 8 and qr = 15. What is the difference between largest and smallest numbers?(a) 6(b) 5(c) 4(d) 3Correct Answer: (a) 6Solution:27. Consider the following statements for a fixed natural number n:1. C(n,r) is greatest if n = 2r 2. C(n,r) is greatest if n = 2r - 1 and n = 2r + 1 Which of the statements given above is/are correct?(a) 1 only(b) 2 only(c) Both 1 and 2(d) Neither 1 nor 2Correct Answer: (c) Both 1 and 2Solution:28. m parallel lines cut n parallel lines giving rise to 60 parallelograms. What is the value of (m + n)?(a) 6(b) 7(c) 8(d) 9Correct Answer: (d) 9Solution:29. Let x be the number of permutations of the word "PERMUTATIONS' and y be the number of permutations of the word 'COMBINATIONS'. Which one of the following is correct?(a) x = y(b) y = 2x(c) x = 4y(d) y = 4xCorrect Answer: (c) x = 4ySolution:30. 5- digit numbers are formed using the digits 0, 1, 2, 4, 5 without repetition. What is the percentage of numbers which are greater than 50,000?(a) 20%(b) 25%(c) (100/3)%(d) (110/3)%Correct Answer: (b) 25%Solution:Submit Quiz« Previous12345Next »