Mathematics (NDA/NA SOLVED PAPER 2023-I) (01 to 50)

Total Questions: 50

31. What is cos 2β equal to?

Let sinβ be the GM of sinα and cosα ; tan γ be the AM of sin α and cos α

Correct Answer: (a)
Solution:

32. What is the value of sec 2γ?

Let sinβ be the GM of sinα and cosα ; tan γ be the AM of sin α and cos α

Correct Answer: (b)
Solution:

33. If x is the distance of P from bottom of the pillar, then consider the following statements:

A flagstaff 20 m long standing on a pillar 10 m high subtends an angle tan⁻¹(0.5) at a point P on the ground. Let θ be the angle subtended by the pillar at this point P.

1. x can take two values which are in the ratio 1: 3
2. x can be equal to height of the flagstaff
Which of the statements given above is/are correct?

Correct Answer: (a) 1 only
Solution:

34. What is a possible value of tan θ?

A flagstaff 20 m long standing on a pillar 10 m high subtends an angle tan⁻¹(0.5) at a point P on the ground. Let θ be the angle subtended by the pillar at this point P.

Correct Answer: (c) 1/3
Solution:

35. What is the perimeter of the triangle?

The perimeter of a triangle ABC is 6 times the AM of sine of angle of the triangle. Further BC = √3 and CA = 1 .

Correct Answer: (c) √3 + 3
Solution:

36. Consider the following statements:

The perimeter of a triangle ABC is 6 times the AM of sine of angle of the triangle. Further BC = √3 and CA = 1 .

1. ABC is right angled triangle
2. The angles of the triangle are in AP
Which of the statements given above is/are correct?

Correct Answer: (c) Both 1 and 2
Solution:Clearly triangle ABC is right angled where angles are 30°, 60° and 90° which are also in AP.

37. What is the minimum value of x?

Correct Answer: (c) 3
Solution:

38. At what value of A does x attain the minimum value?

Correct Answer: (d) π/2
Solution:

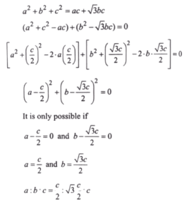
39. What is the nature of the triangle?

In the triangle ABC, a² + b² + c²= ac + √3bc

Correct Answer: (c) Right angled triangle
Solution:

40. If c = 8, what is the area of the triangle?

In the triangle ABC, a² + b² + c²= ac + √3bc

Correct Answer: (c) 8√3
Solution: