Mathematics (NDA/NA SOLVED PAPER 2023-I) (01 to 50)

Total Questions: 50

41. At what value of x does the function attain minimum value?

Correct Answer: (b) 3
Solution:

42. What is the minimum value of the function?

Correct Answer: (a) 2
Solution:Minimum value is at x = 3
f(3) = 2

43. If the sum S is divided by 8, what is the remainder?

Consider the sum
S = 0! + 1! + 3! + 4! +____+ 100!

Correct Answer: (c) 2
Solution:S= 0! + 1! + 2! +_____+100!
Clearly all factorial from 4 to 100 have 4 × 2 i.e. 8 in them hence all of these are completely divisible by 8.
Remainder will be from 0! + 1! + 2! + 3!
= 1 + 1 + 2 + 6 = 10.
After dividing 10 from 8, remainder is 2

44. If the sum S is divided by 60, what is the remainder?

Consider the sum
S = 0! + 1! + 3! + 4! +____+ 100!

Correct Answer: (d) 34
Solution:5! = 120
All factorials of 5 or above are divisible by 60.
Remainder will be form
0! + 1! + 2! + 3! + 4! = 34

45. What is the value of n?

Correct Answer: (c) 8
Solution:Cos P = 1/3

46. What is the length of the smallest side?

Correct Answer: (d) 18
Solution:Smallest side is PQ = 2n + 2
PQ = 2(8) + 2 = 18

47. The given equation can be reduced to

Given that
sin x + cos x + tan x + cot x + sec x + cosec x = 7

Correct Answer: (a) sin²2x - 44sin 2x + 36 = 0
Solution:

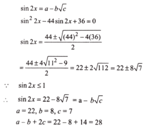
48. If sin 2x = a - b√c where a and b are natural numbers and c is prime number, then what is the value of a - b + 2c ?

Given that
sin x + cos x + tan x + cot x + sec x + cosec x = 7

Correct Answer: (d) 28
Solution:

49. What is the HM of the roots of the equation?

(3 + 2√2)x² - (4 + 2√3)x + (8 + 4√3) = 0

Correct Answer: (b) 4
Solution:

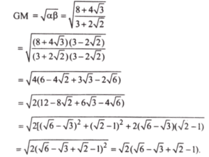
50. What is the GM of the root of the equation?

(3 + 2√2)x² - (4 + 2√3)x + (8 + 4√3) = 0

Correct Answer: (a)
Solution: