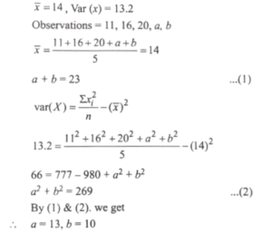
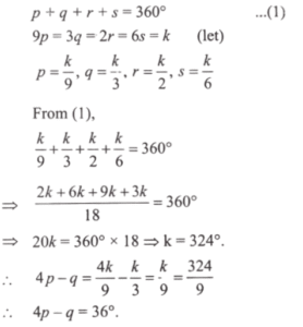
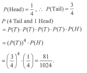
Mathematics (NDA/NA SOLVED PAPER 2023-I) (101 to 120)Total Questions: 201. The mean and variance of five observations are 14 and 13.2 respectively. Three of the five observations are 11, 16 and 20. What are the other two observations?(a) 8 and 15(b) 9 and 14(c) 10 and 13(d) 11 and 12Correct Answer: (c) 10 and 13Solution:2. Let A and B be two independent events such thatWhat is the value of k?(a) 5/7(b) 0(c) 2/7(d) -Correct Answer: (c) 2/7Solution:3. A biased coin with the probability of getting head equal to 1/4 is tossed five times. What is the probability of getting tail in all the first four tosses followed by head?(a) 81/512(b) 81/1024(c) 81/256(d) 27/1024Correct Answer: (b) 81/1024Solution:4. A coin is biased so that heads comes up thrice as likely as tails. In four independent tossess of the coin, what is probability of getting exactly three heads?(a) 81/256(b) 27/64(c) 27/256(d) 9/256Correct Answer: (b) 27/64Solution:Heads comes up thrice as likely as tails ⇒ P(H) = 3P(T) and P(H) + P(T) = 1 P(H) = 3/4 P(T) = 1/4 P (3 head and 1 tail) = 4c₃ 3/4 × 3/4 × 3/4 × 1/4 = 27/64.5. Let X and Y be two random variables such that X + Y = 100. If X follows Binomial distribution with parameters n = 100 and p = 4/5, what is the variance of Y?(a) 1(b) 1/2(c) 16(d) 1/16Correct Answer: (c) 16Solution:Var(X) = npq = 100 × 4/5 × 1/5 = 16 Var(Y) = var(100 - X) = var(X) = 166. If two lines of regression are x + 4y + 1 = 0 and 4x + 9y + 7 = 0, then what is the value of x when y = - 3 ?(a) -13(b) -5(c) 5(d) 7Correct Answer: (c) 5Solution:x + 4y + 1 = 0 ...(1) 4x + 9y + 7 = 0 ...(2) Putting y = - 3 in (1) and (2) From (1), x = 11 which is not in option From (2), x = 57. The central angies p, q, r and s (in degrees) of four sectors in a Pie Chart satisfy the relation 9p = 3q = 2r = 6s. What is the value of 4p - q?(a) 12(b) 24(c) 30(d) 36Correct Answer: (d) 36Solution:8. The observations 4 1, 4, 3, 6, 2, 1, 3, 4, 5, 1, 6 are outputs of 12 dices thrown simultaneously. If m and M are means of lowest 8 observations and highest 4 observations respectively, then what is (2m + M) equal to?(a) 10(b) 12(c) 17(d) 21Correct Answer: (a) 10Solution:9. The bivariate data set contains only two points (-1, 1) and (3, 2) What will be the line of regression of y on x?(a) x - 4y + 5 = 0(b) 3x + 2y - 1 = 0(c) x + 4y + 1 = 0(d) 5x - 4y + 1 = 0Correct Answer: (a) x - 4y + 5 = 0Solution:For line of regression of y on x, the line will be one which satisfy both points. Clearly, x - 4y + 5 = 0 satisfy (-1, 1) and (3, 2) both. Hence line is x - 4y + 5 = 0.10. A die is thrown 10 times and obtained the following outputs:1, 2, 1, 1, 2, 1, 4, 6, 5, 4 What will be the mode of data so obtained?(a) 6(b) 4(c) 2(d) 1Correct Answer: (d) 1Solution:Mode Data observations with maximum frequency Mode = 1.Submit Quiz12Next »