Mathematics (NDA/NA SOLVED PAPER 2023-I) (101 to 120)

Total Questions: 20

11. Consider the following frequency distribution:

What is the value of median of the distribution?

Correct Answer: (c) 3
Solution:

12. For data -1, 1, 4, 3, 8, 12, 17, 19, 9, 11; if M is the median of first 5 observations and N is the median of last five observations then what is the value of 4M-N?

Correct Answer: (d) 0
Solution:First 5 observations: -1, 1, 4, 3, 8
i.e. -1, 1, 3, 4, 8
Median (M) = 3
Last 5 observations: 12, 17, 19, 9, 11
i.e. 9, 11, 12, 17, 19
Median (N) = 12
4M - N = (3 × 4) - 12 = 0

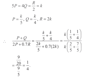
13. Find the value?

Correct Answer: (d) 1/4
Solution:

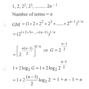
14. If G is the geometric mean of numbers 1, 2, 2², 2³,______,2n⁻¹, then what is the value of 1 + 2 log₂G?

Correct Answer: (d) n
Solution:

15. If H is the harmonic mean of numbers 1, 2. 2², 2³,_____, 2n⁻ ¹ ,then what is n/H equal to?

Correct Answer: (b)
Solution:

16. Find the value?

Correct Answer: (c) 2Q
Solution:

17. One bag contains 3 white and 2 black balls, another bag contains 2 white and 3 black balls. Two balls are drawn from the first bag and put it into the second bag and then a ball is drawn from the second bag. What is the probability that it is white?

Correct Answer: (e) none of the above
Solution:

18. Three dice are thrown. What is the probability that each face shows only multiples of 3?

Correct Answer: (c) 1/27
Solution:On throw of 3 dice,
Number of possible outcomes = 6³ = 216
Favourable outcomes
= {(3, 3, 3) , (3, 3, 6), (3, 6, 3), (6, 3, 3), (3, 6, 6) (6, 3, 6), (6, 6, 3), (6, 6, 6)}
Probability = Number of favourable outcomes/Number of total outcomes = 8/216 = 1/27.

19. What is the probability that the month of December has 5 Sundays?

Correct Answer: (c) 3/7
Solution:Number of days in month of December = 31
Out of which there will be 4 full weeks by 28 days.
Remaining days = 3
P (having 5 Sunday) = 3/7 .

20. A natural number n is chosen from the first 50 natural numbers. What is the probability that n + 50/n < 50?

Correct Answer: (b) 47/50
Solution:n + 50/n < 50
Clearly for n = 1, 49, 50 this relation is not true.
Number of favourable values of n = 47
Probability = 47/50.