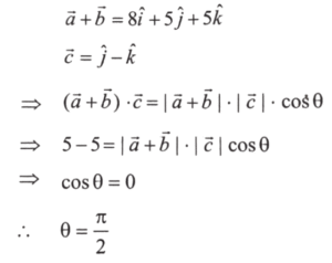
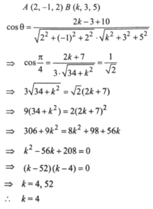
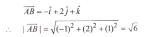
Mathematics (NDA/NA SOLVED PAPER 2023-I) (51 to 100)Total Questions: 5011. What is u + v + w equal to?Let A(1, - 1, 2) and B(2, 1, - 1) be the end points of the diameter of the sphere x² + y² + z² + 2wx + 2vy + 2wz - 1 = 0.(a) -2(b) -1(c) 1(d) 2Correct Answer: (a) -2Solution:12. If P(x, y, z) is any point on the sphere, then what is PA² + PB² equal to?Let A(1, - 1, 2) and B(2, 1, - 1) be the end points of the diameter of the sphere x² + y² + z² + 2wx + 2vy + 2wz - 1 = 0.(a) 15(b) 14(c) 13(d) 6.5Correct Answer: (b) 14Solution:13. What is the value of k?Consider two lines whose direction ratios are (2, -1, 2) and (k, 3, 5) They are inclined at an angle π/4 .(a) 4(b) 2(c) 1(d) -1Correct Answer: (a) 4Solution:14. What are the direction ratios of a line which is perpendicular to both the lines?Consider two lines whose direction ratios are (2, -1, 2) and (k, 3, 5) They are inclined at an angle π/4 .(a) (1, 2, 10)(b) (-1, -2, 10)(c) (11, 12, -10)(d) (11, 2, -10)Correct Answer: (d) (11, 2, -10)Solution:15. Equal to?(a)(b)(c)(d)Correct Answer: (b)Solution:16. Find the value?(a) π/2(b) π/3(c) π/4(d) π/6Correct Answer: (a) π/2Solution:17. What is cos α equal to?(a) 1/3(b) 4/9(c) 5/9(d) 2/3Correct Answer: (b) 4/9Solution:18. What is cos2β + cos2γ equal to?(a) -32/81(b) -16/81(c) 16/81(d) 32/81Correct Answer: (a) -32/81Solution:19. Consider the following points:1. (-1,-3, 1) 2. (-1, 3, 2) 3. (-2, 5, 3) Which of the above points lie on the line joining A and B?(a) 1 and 2 only(b) 2 and 3 only(c) 1 and 3 only(d) 1, 2 and 3Correct Answer: (b) 2 and 3 onlySolution:20. Find magnitude?(a) 2(b) 3(c) √6(d) √3Correct Answer: (c) √6Solution:Submit Quiz« Previous12345Next »