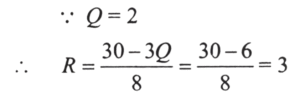
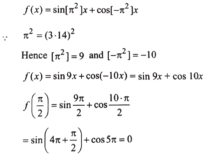
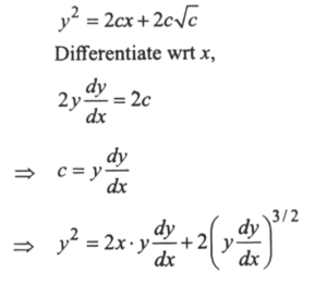
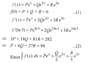
Mathematics (NDA/NA SOLVED PAPER 2023-I) (51 to 100)Total Questions: 5021. What is the value of Q?(a) 1(b) 2(c) 3(d) 4Correct Answer: (b) 2Solution:22. What is the value of R?(a) 1(b) 2(c) 3(d) 4Correct Answer: (c) 3Solution:23. What is f'(0) equal to?(a) 18(b) 16(c) 15(d) 14Correct Answer: (d) 14Solution:24. What is the order of the differential equation?(a) 1(b) 2(c) 3(d) 4Correct Answer: (a) 1Solution:25. What is the degree of the differential equation?(a) 2(b) 3(c) 4(d) Degree does not existCorrect Answer: (b) 3Solution:As highest power of dy/dx = 3 Degree = 326. What is f(0) equal to?(a) -1(b) 0(c) 1(d) 2Correct Answer: (b) 0Solution:27. Find the value?(a) -1(b) 0(c) 1(d) 2Correct Answer: (b) 0Solution:28. Find the value?(a) -1(b) 0(c) 1(d) 2Correct Answer: (a) -1Solution:29. What is f(π/2) equal to?(a) -1(b) 0(c) 1(d) 2Correct Answer: (b) 0Solution:30. What is f(π/4) equal to?(a) -1/√2(b) -1(c) 1(d) 1/√2Correct Answer: (d) 1/√2Solution:Submit Quiz« Previous12345Next »