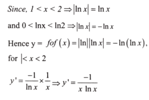
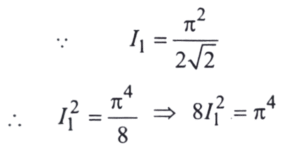
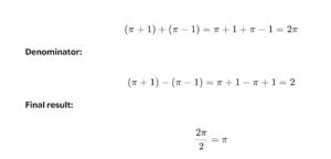
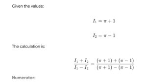
Mathematics (NDA/NA SOLVED PAPER 2023-I) (51 to 100)Total Questions: 5031. Find the value?(a) 1(b) π(c) π²(d) π + 1/π - 1Correct Answer: (b) πSolution:According to the question 32. What is the value of 8I²₁?(a) π(b) π²(c) π³(d) π⁴Correct Answer: (d) π⁴Solution:33. What is the value of I₂?(a)(b)(c)(d)Correct Answer: (a)Solution:I₂ = 2π/2√2 = π√2 .34. What is l equal to when a < 0 < b ?(a) a + b(b) a - b(c) b - a(d) (a + b)/2Correct Answer: (a) a + bSolution:35. What is l equal to when a < b < 0 ?(a) a + b(b) a - b(c) b - a(d) (a + b)/2Correct Answer: (b) a - bSolution:36. What is the derivative of f(x) at x = 0.5 ?Let f(x) = |ln(x)|, x ≠ 1(a) -2(b) -1(c) 1(d) 2Correct Answer: (a) -2Solution:37. What is the derivative of f(x) at x = 2?Let f(x) = |ln(x)|, x ≠ 1(a) - 1/2(b) -1(c) 1/2(d) 2Correct Answer: (c) 1/2Solution:38. What is the derivative of fof (x), where 1 < x < 2?Let f(x) = |ln(x)|, x ≠ 1 (a)(b)(c)(d)Correct Answer: (d)Solution:39. What is the value of p?(a) 2(b) 3(c) 4(d) 5Correct Answer: (b) 3Solution:40. What is the value of q?(a) 2(b) 3(c) 4(d) 5Correct Answer: (c) 4Solution:p = 3 and p + q = 7 ⇒ q = 7 - 3 = 4.Submit Quiz« Previous12345Next »