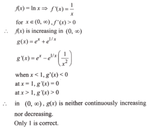
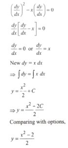
Mathematics (NDA/NA SOLVED PAPER 2023-I) (51 to 100)Total Questions: 5041. Consider the following statements:Which of the statements given above is/are correct?(a) I only(b) 2 only(c) Both 1 and 2(d) Neither 1 nor 2Correct Answer: (a) I onlySolution:42. What is the derivative of sin² x with respect to cos²x?(a) -1(b) 1(c) sin 2x(d) cos 2xCorrect Answer: (a) -1Solution:43. For what value of m with m < 0, is the area bounded by the lines y = x, y = mx and x = 2 equal to 3?(a) - 1/2(b) -1(c) - 3/2(d) -2Correct Answer: (a) - 1/2Solution:O (0, 0) is the origin A = A (2, 2), B = B(2, 2m) Area (Δ OAB) = 3 44. What the derivative of cosec(x°)?(a)(b)(c)(d)Correct Answer: (b)Solution:45. Find the value?(a) y = 2x(b) y = 2x + 4(c) y = x² - 1(d) y = (x²- 2)/2Correct Answer: (d) y = (x²- 2)/2Solution:46. If f(x) = x² + 2 and g(x) = 2x - 3, then what is (fg)(1) equal to?(a) 3(b) 1(c) -2(d) -3Correct Answer: (d) -3Solution:f(x) = x² + 2 g(x) = 2x - 3 (fg)(1) = f(1) × g(1) = (1 + 2)(2 - 3) = - 3.47. What is the range of the function f(x) = x + |x| if the domain is the set of real numbers?(a) (0, ∞)(b) [0, ∞)(c) (- ∞, ∞)(d) [1, ∞)Correct Answer: (b) [0, ∞)Solution:f(x) = x + |x| when x < 0, f(x) = x - x = 0 when x > = 0 , f(x) = x + x = 2x f(x) ∈ in (0, ∞)48. If f(x) = x(4x² - 3), then what is f(sinθ) equal to?(a) - sin 3θ(b) - cos 3θ(c) sin 3θ(d) - sin 4θCorrect Answer: (a) - sin 3θSolution:f(x) = x(4x² - 3) f(sinθ) = sinθ (4sin²θ - 3) = - (3sinθ - 4sin³θ) = - sin 3θ49. equal to?(a) -1(b) 0(c) 1(d) Limit does not existCorrect Answer: (d) Limit does not existSolution:50. equal to?(a) -1(b) -3(c) 3(d) Limit does not existCorrect Answer: (c) 3Solution:Submit Quiz« Previous12345