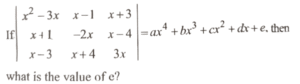
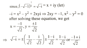
(Mathematics) NDA/NA SOLVED PAPER 2023 – II (01 to 50)Total Questions: 5011. equal to?(a) t₁₀(b) t²₁₀(c) t₁₁(d) t²₁₁Correct Answer: (c) t₁₁Solution:12. Which one of the following is a square root of -√-1?(a)(b)(c)(d)Correct Answer: (b)Solution:13. What is the maximum number of points of intersection of 10 circles?(a) 45(b) 60(c) 90(d) 120Correct Answer: (c) 90Solution:14. A set S contains (2n +1) elements. There are 4096 subset of S which contain at most n elements. what is n equal to?(a) 5(b) 6(c) 7(d) 8Correct Answer: (b) 6Solution:15. Find?(a) -1(b) 0(c) 1(d) 2Correct Answer: (b) 0Solution:it is skew - symmetric of order 3 × 3 ⇒ So, e = 016. If all elements of a third order determinant are equal to 1 or -1, then the value of the determinant is:(a) 0 only(b) an even number but not necessarily 0(c) an odd number(d) 0, 1 or-1Correct Answer: (b) an even number but not necessarily 0Solution:Since, all the elements of 3 × 3 matrix is -1 or 1 then determinent of the matrix is always an even numbetr.17. Find?(a) 5(b) 25(c) 125(d) 625Correct Answer: (d) 625Solution:Since, |A| = 1(6 - 1) = 5 Now, |adj (adj A)| = |A|⁽ⁿ⁻¹⁾² = 5⁽³⁻¹⁾² = 5⁴ = 62518. equal to?(a)(b)(c)(d)Correct Answer: (a)Solution:19. The value of the determinant of a matrix A of order 3 is 3. If C is the matrix of cofactors of the matrix A, then what is the value of determinant of C²?(a) 3(b) 9(c) 81(d) 729Correct Answer: (c) 81Solution:20. equal to?(a) 100(b) 1000(c) 9900(d) 10000Correct Answer: (d) 10000Solution:Submit Quiz« Previous12345Next »