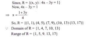
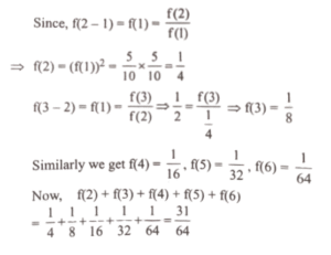
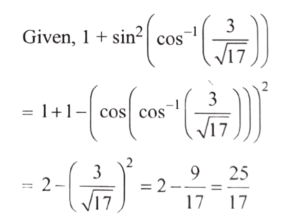
(Mathematics) NDA/NA SOLVED PAPER 2023 – II (01 to 50)Total Questions: 5021. The Cartesian product A × A has 16 elements among which are (0, 2) and (1, 3). Which of the following statements is/are correct?1. It is possible to determine set A2. A × A contains the element (3, 2).Select the correct answer using the code given below:(a) 1 only(b) 2 only(c) Both 1 and 2(d) Neither 1 nor 2Correct Answer: (c) Both 1 and 2Solution:22. Let A= {1, 2, 3 ,____20}. Define a relation R from A to A by R = {(x, y) : 4x - 3y = 1}, where x, y ∈ A. Which of the following statements is/are correct?1. The domain of R is {1, 4, 7, 10, 13, 16}. 2. The range of R is {1, 5, 9, 13, 17}. 3. The range of R is equal to codomain of R. Select the correct answer using the code given below:(a) I only(b) 2 only(c) 1 and 2(d) 2 and 3Correct Answer: (b) 2 onlySolution:23. Consider the following statements:Which of the statements given above is/are correct?(a) 1 only(b) 2 only(c) Both 1 and 2(d) Neither 1 nor 2Correct Answer: (a) 1 onlySolution:(a)24. Consider the following statements:1. A = (A ∪ B) ∪ (A - B) 2. A ∪ (B - A) = (A ∪ B) 3. B=(A ∪ B) - (A - B) Which of the statements given above are correct?(a) 1 and 2 only(b) 2 and 3 only(c) 1 and 3 only(d) 1, 2 and 3Correct Answer: (b) 2 and 3 onlySolution:(b)25. equal to?(a) 15/32(b) 17/32(c) 29/64(d) 31/64Correct Answer: (d) 31/64Solution:26. equal to?(a) -1(b) 1(c) 3 + √5(d) 3 - √5Correct Answer: (c) 3 + √5Solution:27. If sec⁻¹ p - cosec⁻¹ q = 0, where p > 0, q > 0; then what is the value of p⁻² + q⁻²?(a) 1(b) 2(c) 1/2(d) 1/ 2√2Correct Answer: (a) 1Solution:28. equal to?(a) 25/17(b) 8/17(c) 9/17(d) 47/17Correct Answer: (a) 25/17Solution:29. Find the value?(a) 16(b) 2(c) 1(d) 1/2Correct Answer: (c) 1Solution:30. Find the value?(a) -1/2(b) -1/√2(c) 1/√2(d) 1/2Correct Answer: (c) 1/√2Solution:Submit Quiz« Previous12345Next »