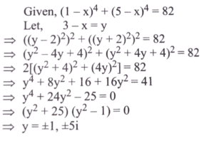
(Mathematics) NDA/NA SOLVED PAPER 2023 – II (01 to 50)Total Questions: 5031. What is the number of real roots of the equation?Consider the equation (1 - x)⁴ + (5 - x)⁴ = 82.(a) 0(b) 2(c) 4(d) 8Correct Answer: (b) 2Solution:32. What is the sum of all the roots of the equation?Consider the equation (1 - x)⁴ + (5 - x)⁴ = 82.(a) 24(b) 12(c) 10(d) 6Correct Answer: (b) 12Solution:Since, sum of all roots = 4 + 2 + 3 - 5i + 3 + 5i = 1233. What are the roots of equation - I ?(b) -1, ω, ω²(a) 1, ω, ω²(c) 1, -ω, ω²(d) -1, -ω, -ω²Correct Answer: (b) -1, ω, ω²Solution:34. Which one of the following is a root of equation -II?(a) -1(b) -ω(c) -ω²(d) ωCorrect Answer: (d) ωSolution:35. What is the number of common roots of equation -I and equation -II?(a) 0(b) 1(c) 2(d) 3Correct Answer: (c) 2Solution:Since, the common roots of equation - I and equation - II are ω, ω² ⇒ Number of common roots = 236. If k = c/2, ( c ≠ 0), then the roots of the equation are:A quadratic equation is given by (a + b)x² - (a + b + c)x + k = 0 , where a, b, c are real.(a) Real and equal(b) Real and unequal(c) Real iff a > c(d) Complex but not realCorrect Answer: (b) Real and unequalSolution:37. If k = c, then the roots of the equation are:A quadratic equation is given by (a + b)x² - (a + b + c)x + k = 0 , where a, b, c are real.(a)(b)(c)(d)Correct Answer: (c)Solution:(c)38. What is T₁ + 2T₂ + 3T₃ +______+nTₙ equal to?Let (1+x)ⁿ = 1 + T₁x + T₂x² + T₃x³ +____+Tₙxⁿ(a) 0(b) 1(c) 2ⁿ (d) n2ⁿ⁻¹Correct Answer: (d) n2ⁿ⁻¹Solution:39. What is 1 - T₁ + 2T₂ - 3T₃+_____+(-1)ⁿ nTₙ equal to?Let (1+x)ⁿ = 1 + T₁x + T₂x² + T₃x³ +____+Tₙxⁿ(a) 0(b) - 2ⁿ⁻¹(c) n2ⁿ⁻¹(d) 1Correct Answer: (d) 1Solution:40. What is T₁ + T₂ + T₃+_____+Tₙ equal to?Let (1+x)ⁿ = 1 + T₁x + T₂x² + T₃x³ +____+Tₙxⁿ(b) 2ⁿ⁻¹(a) 2ⁿ(c) 2x(d) 2ⁿ⁺¹Correct Answer: (b) 2ⁿ⁻¹Solution:Submit Quiz« Previous12345Next »