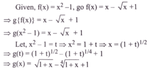
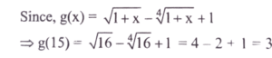
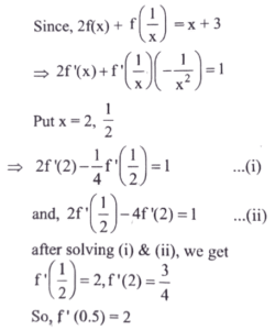
(Mathematics) NDA/NA SOLVED PAPER 2023 – II (01 to 50)Total Questions: 5041. Which one of the following is a possible expression for g(x)?Let f(x) = x² - 1 and gof (x) = x - √x + 1(a)(b)(c)(d)Correct Answer: (b)Solution:42. What is g(15) equal to?Let f(x) = x² - 1 and gof (x) = x - √x + 1(a) 1(b) 2(c) 3(d) 4Correct Answer: (c) 3Solution:43. What is f(0.5) equal to?(a) 1/2(b) 2/3(c) 1(d) 2Correct Answer: (b) 2/3Solution:(b)44. If f is differentiable, then what is f'(0.5) equal to?(a) 1/4(b) 2/3(c) 2(d) 4Correct Answer: (c) 2Solution:45. The function is decreasing on:(a)(b)(c)(d)Correct Answer: (a)Solution:(a)46. The function attains local minimum value at:(a) x = - 28/3(b) x = -1(c) x = 0(d) x = 28/3Correct Answer: (c) x = 0Solution:47. What is the maximum value of y?Given that 4x² + y² = 9(a) 3/2(b) 3(c) 4(d) 6Correct Answer: (b) 3Solution:48. What is the maximum value of xy?Given that 4x² + y² = 9(a) 9/4(b) 3/2(c) 4/9(d) 2/3Correct Answer: (a) 9/4Solution:49. What is the range of the function?A function is defined by f(x) = π + sin²x(a) [0,1](b) [π, π+ 1](c) [π - 1, π + 1](d) [π - 1, π - 1]Correct Answer: (b) [π, π+ 1]Solution:50. What is the period of the function?A function is defined by f(x) = π + sin²x(a) 2π(b) π(c) π/2(d) The function is non-periodicCorrect Answer: (b) πSolution:Since, period of sin²x is π ⇒ period of f(x) = π + sin²x is πSubmit Quiz« Previous12345