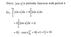
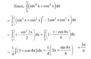
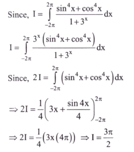
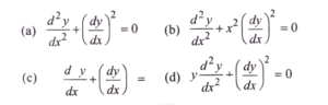
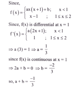
(Mathematics) NDA/NA SOLVED PAPER 2023 – II (51 to 100)♠Total Questions: 5011. equal to?(a) 3π/8(b) 3π/4(c) 3π/2(d) 3πCorrect Answer: (b) 3π/4Solution:12. What is I equal to?(a) 0(b) 3π/4(c) 3π/2(d) 3πCorrect Answer: (c) 3π/2Solution:13. If the function f(x) is differentiable at x = 1, then what is the value of (a + b)?(a) -1/3(b) -1(c) 0(d) 1Correct Answer: (a) -1/3Solution:14. equal to?(a) -1/3(b) -2/3(c) 0(d) 1Correct Answer: (b) -2/3Solution:15. equal to?(a) -2(b) -1(c) 0(d) 2Correct Answer: (a) -2Solution:16. equal to?(a)(b)(c)(d)Correct Answer: (c)Solution:17. equal to?(a) 2(b) 4(c) 8(d) 16Correct Answer: (d) 16Solution:18. What is the area between the curve f(x) = x |x| and x - axis for x ∈ [-1, 1]?(a) 2/3(b) 1/2(c) 1/4(d) 1/3Correct Answer: (d) 1/3Solution:(d)19. Find the order?(a) 3, 4(b) 1, 4(c) 2, 2(d) 3, 2Correct Answer: (d) 3, 2Solution:Order = 3 degree = 220. What is the differential equation of all parabolas of the type y² = 4a(x - b)?(a)(b)(c)(d)Correct Answer: (d)Solution:Submit Quiz« Previous12345Next »