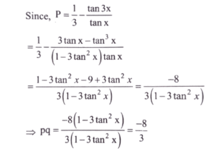
(Mathematics) NDA/NA SOLVED PAPER 2023 – II (51 to 100)♠Total Questions: 5021. What is a₁ + a₅ - a₁₀ - a₁₅ - a₂₀ - a₂₅ + a₃₀ + a₃₄ equal to?Let a₁, a₂, a₃____be in AP such that a₁ + a₅ + a₁₀ + a₁₅ + a₂₀ + a₂₅ + a₃₀ + a₃₄ = 300.(a) 0(b) 25(c) 125(d) 250Correct Answer: (a) 0Solution:22. equal to?Let a₁, a₂, a₃____be in AP such that a₁ + a₅ + a₁₀ + a₁₅ + a₂₀ + a₂₅ + a₃₀ + a₃₄ = 300.(a) 900(b) 1025(c) 1200(d) 1275Correct Answer: (d) 1275Solution:23. What is the value of p + q?(a) -1/2(b) -1/4(c) 0(d) 1/2Correct Answer: (c) 0Solution:24. What is the value of pq?(a) -1/16(b) -1/4(c) 1/4(d) 1/16Correct Answer: (a) -1/16Solution:25. What is pq equal to?(a) 1(b) 2(c) 8/3(d) -8/3Correct Answer: (d) -8/3Solution:26. For how many values of x does 1/p become zero?(a) No value(b) Only one value(c) Only two values(d) Only three valuesCorrect Answer: (c) Only two valuesSolution:27. What is a value of sin 3x + sin 3y?(a) -1(b) 0(c) 1(d) 3Correct Answer: (b) 0Solution:28. What is a value of cos³x + cos³y?(a) 3√3/8(b) 3√6/8(c) 3√6/4(d) 1Correct Answer: (b) 3√6/8Solution:29. What is the value of a + b + √2c equal to?The angles A, B and C of a triangle ABC are in ration 3 : 5 : 4.(a) 3a(b) 2b(c) 3b(d) 2cCorrect Answer: (c) 3bSolution:30. What is the ratio of a² : b² : c²?The angles A, B and C of a triangle ABC are in ration 3 : 5 : 4.(a) 2 : 2 + √3 : 3(b) 2 : 2 + √3 : 2(c) 2 : 2 + √3 : 2(d) 2 : 2 - √3 : 3Correct Answer: (a) 2 : 2 + √3 : 3Solution:Submit Quiz« Previous12345Next »