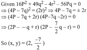
(Mathematics) NDA/NA SOLVED PAPER 2023 – II (51 to 100)♠Total Questions: 5031. What is the equation of directrix of parabola y²= 4bx, where b < 0 and b² + b - 2 = 0?(a) x + 1 = 0(b) x - 2 = 0(c) x - 1 = 0(d) x + 2 = 0Correct Answer: (b) x - 2 = 0Solution:32. The points (- a, - b) (0, 0), (a, b) and (a², ab) are:(a) lying on the same circle(b) vertices of a square(c) vertices of a parallelogram that is not a square(d) collinearCorrect Answer: (d) collinearSolution:33. Given that 16p² + 49q² - 4r²- 56pq = 0 which one of the following is a point on a pair of straight lines (px + qy + r)(px + qy - r) = 0?(a) (2, 7/2)(b) (2, -7/2)(c) (4, - 7)(d) (4, 7)Correct Answer: (b) (2, -7/2)Solution:34. If 3x + y - 5 = 0 is the equation of a chord of the circle x²+ y² - 25 = 0 then what are the coordinates of the mid-point of the chord?(a) (3/4, 1/4)(b) (3/2 , 1/2)(c) (3/4, - 1/4)(d) (3/2, -1/2)Correct Answer: (b) (3/2 , 1/2)Solution:(b)35. Consider the following in respect of the equation1. The equation represents an ellipse if k = 19 2. The equation represents a hyperbola if k = 12 3. The equation represents a circle if k = 20 How many of the statements given above are correct?(a) Only one(b) Only two(c) All three(d) NoneCorrect Answer: (c) All threeSolution:36. Consider the following statements in respect of hyperbola1. The two foci are independent of 0. 2. The eccentricity is sec θ. 3. The distance between the two foci is 2 units. How many of the statements given above are correct?(a) Only one(b) Only two(c) All three(d) NoneCorrect Answer: (c) All threeSolution:37. Consider the following in respect of the circle4x² + 4y² - 4ax - 4ay + a² = 0 1. The circle touches both the axes. 2. The diameter of the circle is 2a. 3. The centre of the circle lies on the line x + y = a How many of the statements given above are correct(a) Only one(b) Only two(c) All three(d) NoneCorrect Answer: (b) Only twoSolution:38. For what value of k is the line (k - 3)x - (5 - k²)y + k² - 7k + 6 = 0 parallel to the line x + y = 1?(a) -1, 1(b) -1, 2(c) 1, -2(d) 2, -2Correct Answer: (b) -1, 2Solution:39. The line x + y = 4 cuts the line joining P(- 1,1) and Q (5, 7) at R. What is PR: RQ equal to ?(a) 1 : 1(b) 1 : 2(c) 2 : 1(d) 1 : 3Correct Answer: (b) 1 : 2Solution:40. What is the sum of the intercepts of the line whose perpendicular distance from origin is 4 units and the angle which the normal makes with positive DIRECTIONS of x-axis is 15°?(a) 8(b) 4√6(c) 8√6(d) 16Correct Answer: (c) 8√6Solution:Submit Quiz« Previous12345Next »