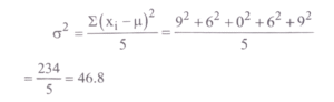
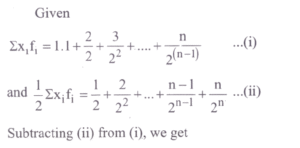
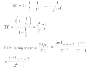
(Mathematics) NDA/NA SOLVED PAPER 2024 – I (101 to 120)Total Questions: 2011. What is the minimum value of P(A) + P(B)?Let A and B be two events such that P( A ∪ B) > = 0.75 and 0.125 < = P(A ∩ B) < 0.375.(a) 0.625(b) 0.750(c) 0.825(d) 0.875Correct Answer: (d) 0.875Solution:12. What is the maximum value of P(A) + P(B)?Let A and B be two events such that P( A ∪ B) > = 0.75 and 0.125 < = P(A ∩ B) < 0.375.(a) 0.75(b) 1.125(c) 1.375(d) 1.625Correct Answer: (a) 0.75Solution:13. What is the minimum value of P( B cap C) ?A, B and C are three events such that P(A) = 0.6, P(B) = 0.4, P(c) = 0.5, P(A ∪ B) = 0.8, P(A ∩ C) = 0.3 and P(A ∩ B ∩ c) = 0.2 and P(A ∪ B ∪ C) > 0.85.(a) 0.1(b) 0.2(c) 0.35(d) 0.45Correct Answer: (b) 0.2Solution: Minimum value of P(B ∩ C) = 0.214. What is the maximum value of P( B ∩ C) ?A, B and C are three events such that P(A) = 0.6, P(B) = 0.4, P(c) = 0.5, P(A ∪ B) = 0.8, P(A ∩ C) = 0.3 and P(A ∩ B ∩ c) = 0.2 and P(A ∪ B ∪ C) > 0.85.(a) 0.1(b) 0.2(c) 0.35(d) 0.45Correct Answer: (c) 0.35Solution: Maximum value of P(B ∩ C) = 0.3515. What is the value of n?An unbiased coin in tossed in times. The probability of getting at least one tail is p and the probability of at least two tails is q and p - q = 5/32(a) 4(b) 5(c) 6(d) 7Correct Answer: (b) 5Solution:16. What is the value of p + q?An unbiased coin in tossed in times. The probability of getting at least one tail is p and the probability of at least two tails is q and p - q = 5/32(a) 57/32(b) 53/32(c) 51/32(d) 1Correct Answer: (a) 57/32Solution:17. equal to?(a)(b)(c)(d)Correct Answer: (b)Solution:18. What is the mean of the distribution?(a)(b)(c)(c)Correct Answer: (c)Solution:19. What is the mean deviation of the largest five observations?The marks obtained by 10 students in a Statistics test are 24, 47, 18, 32, 19, 15, 21, 35, 50 and 41.(a) 4.8(b) 5.5(c) 6(d) 7.5Correct Answer: (c) 6Solution:20. What is the variance of the largest five observations?The marks obtained by 10 students in a Statistics test are 24, 47, 18, 32, 19, 15, 21, 35, 50 and 41.(a) 14.6(b) 21.8(c) 25.2(d) 46.8Correct Answer: (d) 46.8Solution:Submit Quiz« Previous12