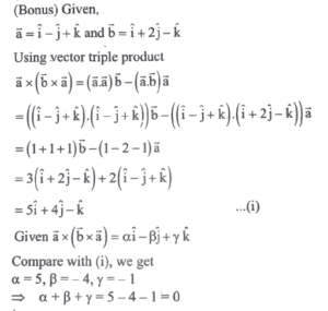
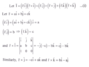
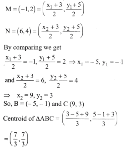
(Mathematics) NDA/NA SOLVED PAPER 2024 – I (51 to 100)Total Questions: 5011. If two sides of a square lie on the lines 2x + y - 3 = 0 and 4x + 2y + 5 = 0, then what is the area of the square in square units?(a) 6.05(b) 6.15(c) 6.25(d) 6.35Correct Answer: (a) 6.05Solution:= 6.05 square units.12. ABC is a triangle with A(3, 5) The mid-points of sides AB, AC are at (-1, 2), (6, 4) respectively. What are the coordinates of centroid of the triangle ABC?(a)(b)(c)(d)Correct Answer: (b)Solution:13. ABC is acute angled isosceles triangle. Two equal sides AB and AC lie on the lines 7x - y - 3 = 0 and x + y - 5 = 0. If θ is one of the equal angles, then what is cot θ equal to?(a) 1/3(b) 1/2(c) 2/3(d) 2Correct Answer: (b) 1/2Solution:(b)14. In the parabola y² = 8x, the focal distance . of a point P lying on it is 8 units. Which of the following statements is/are correct?(A) The coordinates of P can be (6, 4√3) (B) The perpendicular distance of P from the directrix of parabola is 8 units. Select the correct answer using the code given below:(a) A only(b) B only(c) Both A and B(d) Neither A nor BCorrect Answer: (c) Both A and BSolution:15. What is the eccentricity of the ellipse if the angle between the straight lines joining the foci to an extremity of the minor axis is 90°?(a) 1/3(b) 1/2(C) 1/√3(d) 1/√2Correct Answer: (d) 1/√2Solution:(d)16. Find the value?(a) 8(b) 7(c) 6(d) 1(e) None of the aboveCorrect Answer: (e) None of the aboveSolution:17. Find the value?(a) (1, √2, 1)(b) (1, -√2, 1)(c) (1, -√2, -1)(d) (1, √2, -1)Correct Answer: (a) (1, √2, 1)Solution:(a)18. Consider the following in respect of moment of a force(A) The moment of force about a point is independent of point of application of force. (B) The moment of a force about a line is a vector quantity. Which of the statements given above is/are correct?(a) A only(b) B only(c) Both A and B(d) Neither A nor BCorrect Answer: (b) B onlySolution:19. equal to?(a)(b)(c)(d)Correct Answer: (a)Solution:20. Find the value?(a) π/2(b) π/3(c) π/4(d) π/6Correct Answer: (b) π/3Solution:(b)Submit Quiz« Previous12345Next »