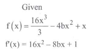
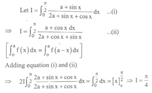
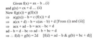
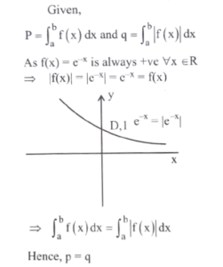
(Mathematics) NDA/NA SOLVED PAPER 2024 – I (51 to 100)Total Questions: 5021. Find the points?(a) No point(b) One point(c) Two points(d) More than two pointsCorrect Answer: (a) No pointSolution:(a)22. Find the value?(a)(b)(c)(d)Correct Answer: (c)Solution:23. If f(x) = ax - b and g(x) = cx + d are such that f(g(x)) = g(f(x)), then which one of the following holds?(a) f(d) = g(b)(b) f(b) + g(d) = 0(c) f(a) + g(c) = 2a(d) f(d) + g(b) = 2dCorrect Answer: (d) f(d) + g(b) = 2dSolution:24. equal to?(a) -1/4(b) 0(c) 1/2(d) 1/4Correct Answer: (b) 0Solution:25. What are the order and degree respectively of the differential equation(a) 2,2(b) 2,3(c) 5,2(d) 2,5Correct Answer: (d) 2,5Solution:26. equal to?(a) 1(b) 2(c) 3(d) 4Correct Answer: (a) 1Solution:27. choose the correct option?(a) p = 2q(b) p = -q(c) 4p = q(d) p = qCorrect Answer: (d) p = qSolution:28. equal to?(a) π/4(b) π/2(c) 1(d) 0Correct Answer: (a) π/4Solution:29. Find the value?(a)(b)(c)(d)Correct Answer: (d)Solution:30. Which one of the following is correct in respect of(a) f(x) has some domain and g(x) has no domain(b) f(x) has no domain and g(x) has some domain(c) f(x) and g(x) have the same domain(d) f(x) and g(x) do not have any domainCorrect Answer: (a) f(x) has some domain and g(x) has no domainSolution:Submit Quiz« Previous12345Next »