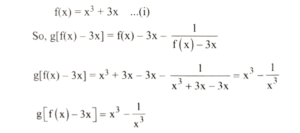
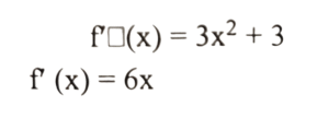
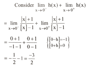
(Mathematics) NDA/NA SOLVED PAPER 2024 – I (51 to 100)Total Questions: 5031. What is the value of α ?(a) 7(b) 13(c) 17(d) 26Correct Answer: (d) 26Solution:(d) α = 2632. What is the value of β?(a) 7(b) 13(c) 17(d) 26Correct Answer: (a) 7Solution:β = 733. Consider the following statements:(A) f(x) is increasing in the interval (e, ∞) (B) f(x) is decreasing in the interval (1, e) (C) 9 ln(7) > 7 ln(9) Which of the statements given above are correct?(a) (A) and (B) only(b) (B) and (C) only(c) (A) and (C) only(d) (A), (B) and (C)Correct Answer: (d) (A), (B) and (C)Solution:34. Consider the following statements:(A) f "(e) = 1/e(B) f(x) attain local minimum value at x = e(C) A local minimum value f(x) is eWhich of the statements given above are correct?(a) (A) and (B) only(b) (B) and (C) only(c) (A) and (C) only(d) (A), (B), and (C)Correct Answer: (d) (A), (B), and (C)Solution:35. What is g[f(x) - 3x] equal to?(a)(b)(c)(d)Correct Answer: (a)Solution:36. What is f "(x) equal to?(a) -2/x³(b) 2x + 2/x³(c) 6x + 3(d) 6xCorrect Answer: (d) 6xSolution:37. Consider the following statements:(A) f(x) is differentiable for all x < 0 (B) g(x) is continuous at x = 0.0001 (C) The derivative of g(x) at x = 2.5 is 1 Which of the statements given above are correct?(a) A and B only(b) B and C only(c) A and C only(d) A, B and CCorrect Answer: (a) A and B onlySolution:38. equal to?(a) -3/2(b) -1/2(c) 1/2(d) 3/2Correct Answer: (a) -3/2Solution:39. What is φ (a) equal to ?(a) 0(b) a(c) 100 a(d) 200Correct Answer: (d) 200Solution:40. What is φ'(a) equal to?(a) 0(b) π(c) 100(d) 200Correct Answer: (a) 0Solution:Φ(a) = 200Differentiating w.r.t aΦ' (a) = 0Submit Quiz« Previous12345Next »