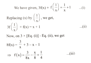
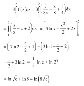
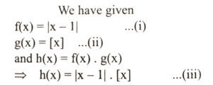
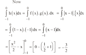
(Mathematics) NDA/NA SOLVED PAPER 2024 – I (51 to 100)Total Questions: 5041. Which of the following is/are correct?A differentiable function f(x) has a local maximum atx = 0. let y = 2 f(x) + ax - b.(A) f ' (0) = 0(B) f " (0) < 0Select the correct answer using the code given below:(a) A only(b) B only(c) Both A and B(d) Neither A nor BCorrect Answer: (c) Both A and BSolution:Since f(x) has a local maximum at x = 0. Then f'(0) = 0 and f'(0) < 0 ....(iv) so, option (c) is correct42. The function y has a relative maxima at x = 0 forA differentiable function f(x) has a local maximum atx = 0. let y = 2 f(x) + ax - b.(a) a > 0, b = 0(b) for all b and a = 0(c) for all b > 0 only(d) for all a and b = 0Correct Answer: (b) for all b and a = 0Solution:43. equal to?(a) -3/2(b) -1(c) 0(d) 1/2Correct Answer: (a) -3/2Solution:44. equal to?(a) -3/2(b) -1(c) 0(d) 1/2Correct Answer: (d) 1/2Solution:45. What is the value of α?(a) 1/3(b) 2/3(c) 1(d) 4/3Correct Answer: (a) 1/3Solution:Comparing (i) and (ii) we getα = 1/346. What is the value of β?(a) -2/3(b) -1/3(c) 1/3(d) 2/3Correct Answer: (c) 1/3Solution:Comparing (i) & (ii) we get β = 1/347. What is the value of A₁?(a)(b)(c)(d)Correct Answer: (d)Solution:48. Find the value?(a) π(b) 1(c) -1(d) -πCorrect Answer: (a) πSolution:49. What is f(x) equal to?(a)(b)(c)(d)Correct Answer: (d)Solution:50. equal to?(a) ln(8√e)(b) ln(4√e)(c) ln 2(d) ln 2 - 1Correct Answer: (a) ln(8√e)Solution:Submit Quiz« Previous12345