(Mathematics) NDA/NA SOLVED PAPER 2024 – I (01 to 50)

Total Questions: 50

11. Consider the following statements in respect of two non-singular matrices A and B of the same order n:

A. adj(AB)=(adjA)(adjB)

B. adj(AB) adj(BA)

C. (AB)adj(AB) -|AB|Iₙ is a null matrix of order n

How many of the above statements are correct?

Correct Answer: (b) Only one statement
Solution:

12. Consider the following statements in respect of a non-singular matrix A of order n:

A. A (adjAᵀ )=A(adjA)ᵀ

B. If A² = A then A is identity matrix of order

C. A³ = A then A is identity matrix of order

Which of the statements given above are correct?

Correct Answer: (d) A, B and C
Solution:

13. How many four-digit natural numbers are there such that all of the digits are even?

Correct Answer: (b) 500
Solution:

14. If ω ≠ 1 is a cube root of unity, then what are the solutions of (z - 100)³ + 1000 = 0?

Correct Answer: (b) 10(10 - ω), 10(10 - ω²), 90
Solution:

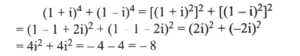
15. What is (1 + i)⁴+ (1 - i)⁴ equal to, where i = √-1?

Correct Answer: (d) -8
Solution:

16. Consider the following statements in respect of a skew-symmetric matrix A of order 3

A. All diagonal elements are zero.

B. The sum of all the diagonal elements of the matrix is zero.

C. A is orthogonal matrix

Which of the statements given above are correct?

Correct Answer: (a) A and B only
Solution:All the diagonal elements of skew- symmetric matrix are zero

hence statements 1 and 2 are correct we know that if AAᵀ = I then A is called orthogonal matrix.

But AAᵀ = A(-A) = A²[Aᵀ = - A]

Hence, statement 3 is not correct.

17. Four digit numbers are formed by using the digits 1, 2, 3, 5 without repetition of digits. How many of them are divisible by 4?

Correct Answer: (d) 6
Solution:We know that a number is divisible by 4 if its last 2 digits is divisible by 4.

Total number divisible by 4

= 0 0 0 21 × 2 × 3 × 1 = 1 × 2 × 3 × 1 = 6

18. What is the remainder when 2¹²⁰ is divided by 7?

Correct Answer: (a) 1
Solution:

19. For what value of n is the determinant

for every m > n?

Correct Answer: (c) 6
Solution:

20. If ABC is a triangle, then what is the value of the determinant

Correct Answer: (b) 0
Solution: