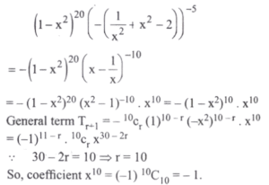
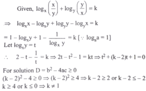
(Mathematics) NDA/NA SOLVED PAPER 2024 – I (01 to 50)Total Questions: 5021. What is the number of different matrices, each having 4 entries that can be formed using 1, 2, 3, 4 (repetition is allowed)?(a) 72(b) 216(c) 254(d) 768Correct Answer: (d) 768Solution:Possible order of matrices with 4 entries1 × 4, 2 × 2, 4 × 1Total number of matrices = 4 × 4 × 4 × 4 × 3 = 76822. Let A = {x ∈ R : - 1 < x < 1}. Which of the following is/are bijective functions from A to itself?(A) f(x) = x|x|(B) g(x) = cos(πx)Select the correct answer using the code given below:(a) A only(b) B only(c) Both A and B(d) Neither A nor BCorrect Answer: (a) A onlySolution:23. Let R be a relation on the open interval (-1, 1) and is given byR = {(x, y) : |x + y| < 2}. Then which of the following is correct?(a) R is reflexive but neither symmetric nor transitive(b) R is reflexive and symmetric but not transitive(c) R is reflexive and transitive but not symmetric(d) R is an equivalence relationCorrect Answer: (d) R is an equivalence relationSolution:24. For any three non-empty sets A, B, C, what is(A ∪ B) - {(A - B) ∪ (B - A) ∪ (A ∩ B)} is equal to?(a) Null set(b) A(c) B(d) ( A ∪ B) - (A ∩ B)Correct Answer: (a) Null setSolution:25. If a, b, c are the sides of triangle ABC, then what is(a) Zero(b) Area of triangle(c) Perimeter of triangle(d) a² + b² + c²Correct Answer: (a) ZeroSolution:26. If a, b, c are in AP; b, c, d are in GP; c, d, e are in HP, then which of the following is/are correct?(A) a, c and e are in GP(B) 1/a, 1/c, 1/e are in GPSelect the correct answer using the code given below:(a) A only(b) B only(c) Both A and B(d) Neither A nor BCorrect Answer: (a) A onlySolution:27. What is the number of solutions oflog₄ (x - 1) = log₂ (x - 3)?(a) Zero(b) One(c) Two(d) ThreeCorrect Answer: (b) OneSolution:28. Then the value of k can never be equal to?(a) -1(b) -1/2(c) 0(d) 1Correct Answer: (d) 1Solution:29. which of the following statements is/ are correct?(A) A⁻¹ = adjA(B) A is skew-symmetric matrix(C) A⁻¹ = AᵀSelect the correct answer using the code given below:(a) A only(b) A and B only(c) A and C(d) B and CCorrect Answer: (c) A and CSolution:30. What is the coefficient of x¹⁰ in the expansion of(a) -1(b) 1(c) 10(d) coefficient of x¹⁰ does not existCorrect Answer: (a) -1Solution:Submit Quiz« Previous12345Next »