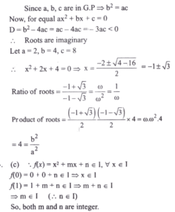
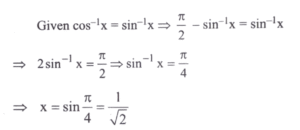
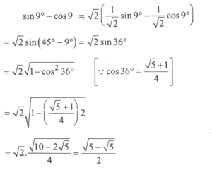
(Mathematics) NDA/NA SOLVED PAPER 2024 – I (01 to 50)Total Questions: 5031. Find the value?(a) -3(b) 3(c) 6(d) 12Correct Answer: (b) 3Solution:32. If a, b and c( a > 0, c > 0 )are in GP, then consider the following in respect of the equation ax² + bx + c = 0 :(A) The equation has imaginary roots.(B) The ratio of the roots of the equation is 1: ω where ω is a cube root of unity.(C) The product of roots of the equation is (b²/(a²)(a) (A) and (B) only(b) (B) and (C) only(c) (A) and (C) only(d) (A), (B) and (C)Correct Answer: (d) (A), (B) and (C)Solution:33. x² + mx + n is an integer for all integral values of x, then which of the following is/ are correct?(A) m must be an integer(B) n must be an integerSelect the correct answer using the code given below:(a) A only(b) B only(c) Both (A) and (B)(d) Neither (A) nor BCorrect Answer: (c) Both (A) and (B)34. Find the value?(a) 1(b) 2(c) 4(d) 8Correct Answer: (a) 1Solution:35. Let A = {1, 2, 3, 4, 5} and B = {6, 7\ What is the number of onto functions from A to B?(a) 10(b) 20(c) 30(d) 32Correct Answer: (c) 30Solution:36. equal to?(a) 1(b) √3(c) 30(d) 4Correct Answer: (d) 4Solution:37. what is (sin 9° - cos 9°) is equal to?(a)(b)(d)(c)Correct Answer: (c)Solution:38. Where a,b,c are sides of the triangle?(a) a + b + c(b) ab + bc + ca(c) (a + b) (b + c) ( c + a)(d) 0Correct Answer: (d) 0Solution:39. If cos⁻¹ x = sin⁻¹ x, then which one of the following is correct?(a) x = 1(b) x = 1/2(c) x = 1/√2(d) x = 1/√3Correct Answer: (c) x = 1/√2Solution:40. What is the number of solutions of (sinθ- cosθ)² = 2 where - π < θ < π ?(a) Only one(b) Only two(c) Four(d) No solutionCorrect Answer: (b) Only twoSolution:Submit Quiz« Previous12345Next »