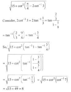
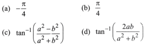
(Mathematics) NDA/NA SOLVED PAPER 2024 – I (01 to 50)Total Questions: 5041. ABC is a triangle such that angle C = 60°, then what is?(a) 2(b) 2(c) 1(d) 1Correct Answer: (c) 1Solution:42. Find the value?(a) 1(b) 7(c) 8(d) 16Correct Answer: (c) 8Solution:43. What is the value of sin 10°. sin 50° + sin 50°. sin 250° + sin 250°. sin 10° equal to?(a) -1/4(b) -3/4(c) 3sin10°/4(d) - cos10°/4Correct Answer: (b) -3/4Solution:44. Find the value?(a)(b)(c)(d)Correct Answer: (b)Solution:45. Under which one of the following conditions does the equation (cos β - 1)x² + (cos β) x + sin β = 0 in x have a real root β ∈ [0, π]?(a)(b)(c)(d)Correct Answer: (d)Solution:46. In a triangle ABC, AB = 16 cm, BC = 63 cm and AC = 65 cm. What is the value of cos 2A + cos 2B + cos 2C?(a) -1(b) 0(c) 1(c) 76/65Correct Answer: (c) 1Solution:47. Find the value?(c) 1(b) 1/2(d) 2Correct Answer: (b) 1/2Solution:48. If tan alpha and tan β are the roots of the equation x² - 6x + 8 = 0, then what is the value of cos(2α + 2β) ?(a) 13/75(b) 13/85(c) 17/85(d) 19/85Correct Answer: (b) 13/85Solution:49. What is the value oftan 65° + 2tan 45° - 2 tan 40°- tan 25°?(a) 0(b) 1(c) 2(d) 4Correct Answer: (c) 2Solution:50. Consider the following statements:A. In a triangle ABC, if cot A . cot B . cot C > 0, then the triangle is an acute angled triangle.B. In a triangle ABC, if tanA . tanB . tan C > 0, then the triangle is an obtuse angled triangle.Which of the statements given above is/are correct?(a) A Only(b) B Only(c) Both A and B(d) Neither A nor BCorrect Answer: (a) A OnlySolution:Submit Quiz« Previous12345