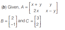
Mathematics (NDA SOLVED PAPER 2020 – II) (01 to 50)Total Questions: 501. Find the value?(a)(b)(c)(d)Correct Answer: (c)Solution:2. Solve it?(a) 180(b) 120(c) 90(d) 72Correct Answer: (a) 180Solution:3. Solve it?(a) 32(b) 64(c) 2048(d) 4096Correct Answer: (b) 64Solution:4. Solve it?(c) 10(a) 18(b) 25(d) 12Correct Answer: (c) 10Solution:5. Find the value?(a) Only one(b) Only two(c) Only four(d) InfiniteCorrect Answer: (d) InfiniteSolution:6. The number (1101101 + 1011011)₂ can be written in decimal system as(a) (198)₁₀(b) (199)₁₀(c) (200)₁₀(d) (201)₁₀Correct Answer: (c) (200)₁₀Solution:7. What is the value of(a) 0(b) 1(c) 2(d) 3Correct Answer: (a) 0Solution:8. If x = logc (ab), y = logₐ bc , z = logb (ca), then which of the following is correct?(a) xyz = 1(b) x + y + z = 1(c) (1 + x)⁻¹ + (1 + y)⁻¹ + (1 + z)⁻¹ = 1(d) (1 + x)⁻² + (1 + y)⁻² (1 + z)⁻² = 1Correct Answer: (c) (1 + x)⁻¹ + (1 + y)⁻¹ + (1 + z)⁻¹ = 1Solution:9. Find the value?(a) − 10(b) − 14(c) − 24(d) − 34Correct Answer: (b) − 14Solution:10. Solve it?(a)(b)(c)(d)Correct Answer: (d)Solution:Submit Quiz12345Next »