Mathematics (NDA SOLVED PAPER 2020 – II) (01 to 50)

Total Questions: 50

11. Solve it?

Correct Answer: (c) transitive only
Solution:

12. Find the value?

Correct Answer: (d) − 4i
Solution:

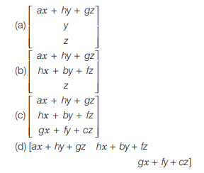
13. Solve it?

Correct Answer: (c)
Solution:

14. What is the number of ways in which the letters of the word ‘ABLE’ can be arranged so that the vowels occupy even places?

Correct Answer: (b) 4
Solution:

15. What is the maximum number of points of intersection of 5 non-overlapping circles?

Correct Answer: (c) 20
Solution:

16. Read the following statements below and choose the correct option:

Question = (16 - 18)
Consider the following Venn diagram, where X, Y and Z are three sets. Let the number of elements in Z be denoted by n(Z) which is equal to 90.If the number of elements in Y and Z are in the ratio 4 : 5, then what is the value of b?

Correct Answer: (c) 21
Solution:

17. Read the following statements above and choose the correct option:

Correct Answer: (d) a + b + 106
Solution:

18. Read the following statements above and choose the correct option:

If the number of elements belonging to neither X, nor Y, nor Z is equal to p, then what is the number of elements in the complement of X?

Correct Answer: (a) p + b + 60
Solution:

19. Read the following information and answer the two items that follow

What is tan² A equal to?

Correct Answer: (b)
Solution:

20. Read the following information and answer the two items that follow

For real values of tan A, K cannot lie between

Correct Answer: (a) 1/3 and 3
Solution: