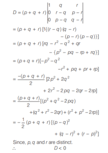
Mathematics (NDA SOLVED PAPER 2020 – II) (01 to 50)Total Questions: 5041. If A is a matrix of order 3 × 5 and B is a matrix of order 5 × 3, then the order of AB and BA will respectively be(a) 3 × 3 and 3 × 3(b) 3 × 5 and 5 × 3(c) 3 × 3 and 5 × 5d) 5 × 3 and 3 × 5Correct Answer: (c) 3 × 3 and 5 × 5Solution:42. If p², q² and r² (where p, q, r > 0) are in GP, then which of the following is/are correct?1. p, q and r in GP. 2. ln p , ln q and ln r are in AP. Select the correct answer using the code given below(a) 1 Only(b) 2 Only(c) Both 1 and 2(d) Neither 1 nor 2Correct Answer: (c) Both 1 and 2Solution:43. If cot α and cot β are the roots of the equation x²− 3x + 2 = 0, then what is cot (α + β) equal to?(a) 1/2(b) 1/3(c) 2(d) 3Correct Answer: (b) 1/3Solution:44. The roots α and β of a quadratic equation, satisfy the relations α + β = α² + β² and αβ = α²β². What is the number of such quadratic equations?(a)(b)(c)(d)Correct Answer: (d)Solution:45. Solve it?(a) 240°(b) 210°(c) 120°(d) 60°Correct Answer: (a) 240°Solution:46. Solve it?(a) 1/2(b) 1(c) 3/2(d) 2Correct Answer: (b) 1Solution:47. Consider the proper subsets of {1, 2, 3, 4}. How many of these proper subsets are superset of the set {3}?(a) 5(b) 6(c) 7(d) 8Correct Answer: (c) 7Solution:48. Solve it?(a)(b)(c)(d)Correct Answer: (a)Solution:49. What is the sum of the last five coefficients in the expansion of (1 + x²) when it is expanded in ascending powers of x?(a) 256(b) 512(c) 1024(d) 2048Correct Answer: (a) 256Solution:50. Consider the following in respect of a non-singular matrix of order 3.1. A (adj A) = (adj A) A 2. |adj A| = |A| Which of the above statements is/are correct?(a) 1 Only(b) 2 Only(c) Both 1 and 2(d) Neither 1 nor 2Correct Answer: (a) 1 OnlySolution:Submit Quiz« Previous12345