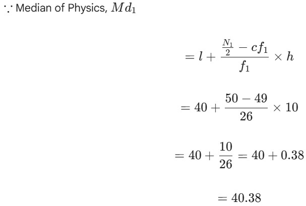
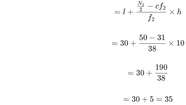
Mathematics (NDA SOLVED PAPER 2020 – II) (101 to 120)Total Questions: 201. The numbers 4 and 9 have frequencies x and (x − 1) respectively. If their arithmetic mean is 6, then what is the value of x?(a) 2(b) 3(c) 4(d) 5Correct Answer: (b) 3Solution:2. If three dice are rolled under the condition that no two dice show the same face, then what is the probability that one of the faces is having the number 6?(a) 5/6(b) 5/9(c) 1/2(d) 5/12Correct Answer: (c) 1/2Solution:3. Find the value?(a)(b)(c)(d)Correct Answer: (c)Solution:4. The sum of deviations of n number of observations measured from 2.5 is 50. The sum of deviations of the same set of observations measured from 3.5 is − 50. What is the value of n?(a) 50(b) 60(c) 80(d) 100Correct Answer: (d) 100Solution:5. A data set of n observations has mean 2M, while another data set of 2n observations has mean M. What is the mean of the combined data sets?(a) M(b) 3M/2(c) 2M/3(d) 4M/3Correct Answer: (d) 4M/3Solution:6. The difference between number of students under Physics and Mathematics is largest for the interval(Question:- 106-108) Read the following information and answer the three items that follow. (a) 20-30(b) 30-40(c) 40-50(d) 50-60Correct Answer: (c) 40-50Solution:7. Consider the following statements:1. Modal value of the marks in Physics lies in the interval 30-40. 2. Median of the marks in Physics is less than of marks in Mathematics. Which of the above statements is/are correct? (a) 1 Only(b) 2 Only(c) Both 1 and 2(d) Neither 1 nor 2Correct Answer: (a) 1 OnlySolution:8. What is the mean of marks in Physics?(a) 38.4(b) 39.4(c) 40.9(d) 41.6Correct Answer: (c) 40.9Solution:9. What is the standard deviation of the observations √6, -√5, -√4, -1, 1, √4, √5, √6?(a) √2(b) 2(c) 2√2(d) 4Correct Answer: (b) 2Solution:10. If Σxᵢ = 20, Σxᵢ² = 200 and n = 10 for an observed variable x, then what is the coefficient of variation?(a) 80(b) 100(c) 150(d) 200Correct Answer: (d) 200Solution:Submit Quiz12Next »