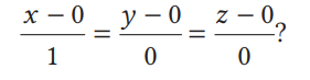
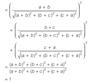
Mathematics (NDA SOLVED PAPER 2020 – II) (51 to 100)Total Questions: 5011. What is the length of the diameter of the sphere whose centre is at (1, -2, 3) and which touches the plane 6x - 3y + 2z - 4 = 0?(a) 1 unit(b) 2 units(c) 3 units(d) 4 unitsCorrect Answer: (d) 4 unitsSolution:12. What is the perpendicular distance from the point (2, 3, 4) to the line(a) 6 units(b) 5 units(c) 3 units(d) 2 unitsCorrect Answer: (b) 5 unitsSolution:13. If a line has direction ratios <a>, then what is the sum of the squares of its direction cosines?(a) (a + b + c)²(b) 2( a + b + c)(c) 3(d) 1Correct Answer: (d) 1Solution:14. Into how many compartments do the coordinate planes divide the space?(a) 2(b) 4(c) 8(d) 16Correct Answer: (c) 8Solution:The coordinate planes divides the spaces into 8 compartment.15. What is the equation of the plane which cuts an intercept 5 units on the Z-axis and is parallel to XY-plane?(a) x + y = 5(b) z = 5(c) z = 0(d) x + y + z = 5Correct Answer: (b) z = 5Solution:16. Find the value?(a)(b)(c)(d)Correct Answer: (a)Solution:17. Let A be a point in space such that |OA| = 12 , where O is the origin. If OA is inclined at angles 45° and 60° with X -axis and Y -axis respectively, then what is OA equal to?(a)(b)(c)(d)Correct Answer: (c)Solution:18. Find the value?(a) 21(b) 25(c) 31(d) 36Correct Answer: (c) 31Solution:19. Solve it?(a) 3(b) 4(c) 6(d) 8Correct Answer: (a) 3Solution:20. Find the value?(a) 1(b) − 1(c) 5(d) − 5Correct Answer: (b) − 1Solution:Submit Quiz« Previous12345Next »