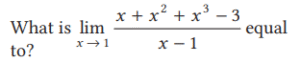
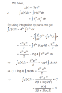
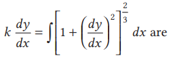
Mathematics (NDA SOLVED PAPER 2020 – II) (51 to 100)Total Questions: 5021. Solve it?(a) 1(b) 2(c) 3(d) 6Correct Answer: (d) 6Solution:22. The radius of a circle is increasing at the rate of 0.7 cm/sec. What is the rate of increase of its circumference?(a) 4.4 cm/sec(b) 8.4 cm/sec(c) 8.8 cm/sec(d) 15.4 cm/secCorrect Answer: (a) 4.4 cm/secSolution:23. Find the value?(a) 2/3(b) 4/3(c) 8/3(d) 4Correct Answer: (c) 8/3Solution:24. The order and degree of the differential equation(a) 1 and 1(b) 2 and 3(c) 2 and 4(d) 1 and 4Correct Answer: (b) 2 and 3Solution:25. Solve it?(a) − 1(b) Zero(c) − e(d) − 1/eCorrect Answer: (a) − 1Solution:26. If f(x) = 3x² - 5x + p and f(0) and f(1) are opposite in sign, then which of the following is correct?(a) -2 < p < 0(b) -2 < p < 2(c) 0 < p < 2(d) 3 < p < 5Correct Answer: (c) 0 < p < 2Solution:27. Find the value?(a) θdΦ(b) - θdΦ(c) 4θdΦ(d) -4θdΦCorrect Answer: (b) - θdΦSolution:28. Find the value?(a)(b)(c)(d)Correct Answer: (b)Solution:29. What is the value of(a) 1/4(b) 1/2(c) 1(d) 2Correct Answer: (b) 1/2Solution:30. Let y = 3x² + 2. If x changes from 10 to 10.1, then what is the total change in y?(a) 4.71(b) 5.23(c) 6.03(d) 8.01Correct Answer: (c) 6.03Solution:Submit Quiz« Previous12345Next »