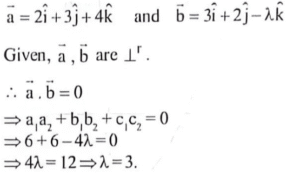
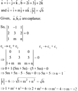
(Mathematics-Part-2) NDA/NA Solved Paper 2017-ITotal Questions: 5011. A straight line with direction cosines (0, 1, 0) is(a) parallel to x-axis(b) parallel to y-axi(c) parallel to z-axis(d) equally inclined to all the axesCorrect Answer: (b) parallel to y-axiSolution:D.C's(0, 1,0) Since x and z are zero, the straight line is parallel to y-axis12. (0, 0, 0), (a, 0, 0), (0, b, 0) and (0, 0, c) are four distinct points. What are the coordinates of the point which is equidistant from the four points?(a)(b)(c)(d)Correct Answer: (c)Solution:13. The points P(3, 2, 4), Q(4, 5, 2), R(5, 8, 0) and S(2, -1, 6) are(a) vertices of a rhombus which is not a square(b) non-coplanar(c) collinear(d) coplanar but not collinearCorrect Answer: (c) collinearSolution:14. The line passing through the points (1, 2, -1) and (3, -1, 2) meets the yz-plane at which one of the following points?(a)(b)(c)(d)Correct Answer: (d)Solution:15. Under which one of the following conditions are the lines x = ay + b; z = cy + d and x = ey + f ; z = gy + h perpendicular?(a) ae + cg -1 = 0(b) ae + bf - 1 = 0(c) ae+ cg +1 = 0(d) ag + ce + 1 = 0Correct Answer: (c) ae+ cg +1 = 0Solution:16. Solve the following equation:(a) m=2 and n=±1(b) m=±2 and n=-1(c) m=2 and n =-1(d) m=±2 and n = 1Correct Answer: (d) m=±2 and n = 1Solution:17. Solve the following question: (a)(b)(c)(d)Correct Answer: (b)Solution: 18. ABCD is a quadrilateral whose diagonals are AC and BD. Which one of the following is correct?(a)(b)(c)(d)Correct Answer: (b)Solution:19. Solve the following question:(a)(b)(c)(d)Correct Answer: (a)Solution: 20. Solve the following equation:(a) 2(b) 3(c) 4(d) 5Correct Answer: (b) 3Solution:Submit Quiz« Previous12345Next »