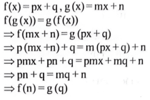
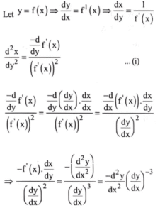
(Mathematics-Part-2) NDA/NA Solved Paper 2017-ITotal Questions: 5021. Solve the following equation:(a) 0(b) 1/2(c) 1(d) 2Correct Answer: (b) 1/2Solution:22. Solve the following equation:(a) 1/2(b) 1(c) √3(d) None of the aboveCorrect Answer: (b) 1Solution:23. Solve the following equation: (a)(b)(c)(d)Correct Answer: (d)Solution:24. The function f: X→Y defined by f(x) = cos x, where x ∈ X, is one-one and on to if X and Y are respectively equal to(a)(b)(c)(d)Correct Answer: (a)Solution:Observe the cosx graph in the figure. It is clear that, function is one - one and onto when x and y are [o, π] and [-1, 1]25. Solve the following equation: (a)(b)(c)(d)Correct Answer: (b)Solution:26. Solve the following equation: (a)(b)(c)(d)Correct Answer: (d)Solution:27. Let f:[-6, 6] → R be defined by f (x) =x² - 3. Consider the following:1. (f°f°S)(-1) = (f°f°f) (1) 2. (f°f°f) (-1) -4 (f°f°f) (1) = (f°f) (0) Which of the above is/are correct?(a) 1 only(b) 2 only(c) Both I and 2(d) Neither 1 nor 2Correct Answer: (c) Both I and 2Solution:28. Let f(x)=px + q and g(x)=mx + n. Then f (g(x)) =g(f (x)) is equivalent to(a) f (p) = g (m)(b) f (q) = g (n)(c) f (n) = g (q)(d) f (m) = g (p)Correct Answer: (c) f (n) = g (q)Solution:29. Solve the following equation: (a)(b)(c)(d)Correct Answer: (c)Solution:30. What is dx²/dy² equal to?(a)(b)(c)(d)Correct Answer: (c)Solution:Submit Quiz« Previous12345Next »