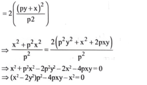
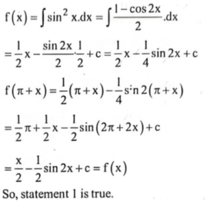
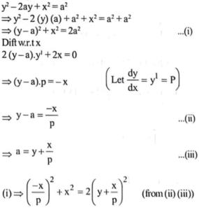
(Mathematics-Part-2) NDA/NA Solved Paper 2017-ITotal Questions: 5031. If f : R → R and g : R → R, then (f - g) is(a) one-one and in to(b) neither one-one nor on to(c) many-one and on to(d) one-one and on toCorrect Answer: (d) one-one and on toSolution: 32. What is the length of the longest interval in which the function f (x) = 3 sin x - 4 sin³ x is increasing?(a) π/3(b) π/2(c) 3π/2(d) πCorrect Answer: (a) π/3Solution:33. If xdy = y (dx + ydy); y(1) = 1 and y(x) > 0, then what is y(-3) equal to?(a) 3(b) 2(c) 1(d) 0Correct Answer: (a) 3Solution:34. What is the maximum value of the function f (x) = 4 sin² x + 1?(a) 5(b) 3(c) 2(d) 1Correct Answer: (a) 5Solution:We know, - 1≤ sinx ≤1 ⇒ 0≤sin²x≤1 ⇒ 0≤4sın²x ≤4 ⇒ 1≤4sin²x + 1≤535. Let f (x) be an indefinite integral of sin² x. Consider the following statements:Statement 1 : The function f(x) satisfies f(x + π)= f(x) for all real x. Statement 2 : sin² (x + π) = sin² x for all real x. Which one of the following is correct in respect of the above statements?(a) Both the statements are true and Statement 2 is the correct explanation of Statement 1(b) Both the statements are true but Statement 2 is not the correct explanation of Statement 1(c) Statement 1 is true but Statement 2 is false(d) Statement I is false but Statement 2 is trueCorrect Answer: (b) Both the statements are true but Statement 2 is not the correct explanation of Statement 1Solution:So, Statement 1 is true. sin² (π+x)=sin²x (-sinx)²=sin²x ⇒sin²x=sin²x So, statement 2 is truе36. What are the degree and order respectively of the difrantal equenion y = x (dy/dx)² + (dx/dy)² ?(a) 1,2(b) 2,1(c) 1,4(d) 4,1Correct Answer: (d) 4,1Solution:37. What is the differential equation corresponding to y² - 2ay + x² = a² by eliminating a?where p = dy/dx(a) (x²- 2y²)p² - 4 pxy - x²=0(b) (x² - 2y²) p² + 4 pxy - x²=0(c) (x²+2y²)p² - 4 pxy - x²= 0(d) (x²+2y²)p²- 4 pxy + x²=0Correct Answer: (a) (x²- 2y²)p² - 4 pxy - x²=0Solution: 38. What is the general solution of the differential equation ydx - (x+ 2y²) dy=0?(a) x = y²+ cy(b) x = 2cу²(c) x = 2y²+ cy(d) None of the aboveCorrect Answer: (c) x = 2y²+ cySolution:39. Let ƒ (x + y) = ƒ (x) ƒ(y) for all x and y. Then what is ƒ '(5) equal to [where ƒ'(x) is the derivative of f (x)]?(a) ƒ(5) ƒ'0(b) ƒ(5) - ƒ'(0)(c) ƒ(5)ƒ(0)(d) ƒ(5) + ƒ'(0)Correct Answer: (a) ƒ(5) ƒ'0Solution:40. Solve the following equation? (a)(b)(c)(d)Correct Answer: (b)Solution: Submit Quiz« Previous12345Next »