(Mathematics-Part-3) NDA/NA Solved Paper 2017-I

Total Questions: 20

11. A card is drawn from a well-shuffled ordinary deck of 52 cards. What is the probability that it is an ace?

Correct Answer: (a) 1/13
Solution:

Number of ace cards =4
So, probability = 4/52 = 1/13

12. If the data are moderately non-symmetrical, then which one of the following empirical relationships is correct?

Correct Answer: (c) 4 × Standard deviation = 5 × Mean deviation
Solution:

We know, 4/5 andard deviation = Mean deviation
⇒ 4 × standard deviation =5 × mean deviation

13. Data can be represented in which of the following forms?

1. Textual form
2. Tabular form
3. Graphical form
Select the correct answer using the code given below.

Correct Answer: (d) 1, 2 and 3
Solution:

Data can be represented in all three forms

14. For given statistical data, the graphs for less than ogive and more than ogive are drawn. If the point at which the two curves intersect is P, then abscissa of point P gives the value of which one of the following measures of central tendency?

Correct Answer: (a) Median

15. Consider the following statements:

1. Two events are mutually exclusive if the occurrence of one event prevents the occurrence of the other.
2. The probability of the union oftwo mutually exclusive events is the sum of their individual probabilities.
Which of the above statements is/are correct?

Correct Answer: (c) Both 1 and 2

16. If the regression coefficient of x on y and y on x are - (1/2) and -(1/8) respectively, then what is the correlation coefficient between x and y?

Correct Answer: (a) -(1/4)
Solution:Since, both the regression coefficients are negative, correlation coefficient is negative.

17. A sample of 5 observations has mean 32 and median 33. Later it is found that an observation was recorded incorrectly as 40 instead of 35. If we correct the data, then which one of the following is correct?

Correct Answer: (b) The median remains the same but the mean will decrease
Solution:Mean =32, Median=33
It was recorded as 40 instead of 35. So, sum will decrease and so mean. Median remains same.

18. If two fair dice are thrown, then what is the probability that the sum is neither 8 nor 9?

Correct Answer: (c) 3/4
Solution:

Total no of outcomes when two dice are thrown =6x6=36
outcomes when sum is 8= (2, 6) (6, 2) (3, 5) (5,3) (4, 4) = 5
Outcomes when sum is 9
=(3,6) (6, 3) (4, 5) (5,4) =4
Possible number of outcomes =36-(5+4)=36-9=27
∴ Required probability = 27/36 = 34

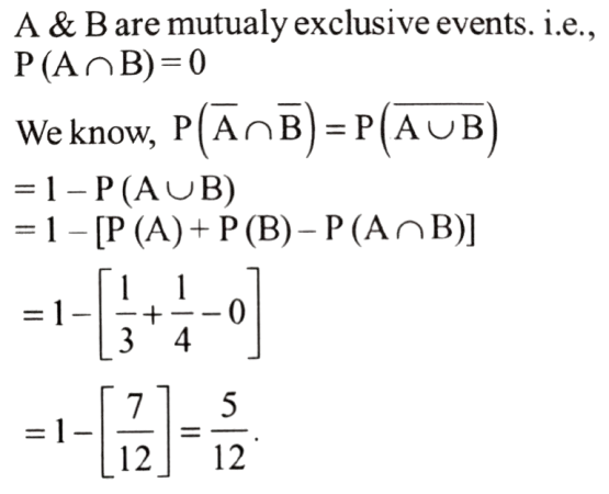
19. Let A and B are two mutually exclusive events with P(A) = 1/3 P(B) = 1/4. What is the value of P (A̅ ∩ B̅) ?

Correct Answer: (d) 5/12
Solution:

20. The mean and standard deviation of a binomial distribution are 12 and 2 respectively. What is the number of trials?

Correct Answer: (c) 18
Solution: