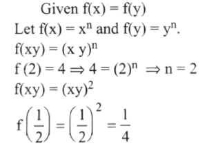
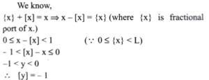
Mathematics (Solved Paper 2024 – II) (51 to 100)Total Questions: 5021. Letz z = [y] and y = [x] - x where [.] is the greatest integer function. If x is not an integer but positive, then what is the value of z?(a) -1(b) 0(c) 1(d) 2Correct Answer: (a) -1Solution:22. If f(x) = 4x + 1 and g(x) = kx + 2 such that f o g(x) = g o f(x), then what is the value of k?(a) 7(b) 5(c) 4(d) 3Correct Answer: (a) 7Solution:Given, f(x) = 4x + 1, g(x) = kx + 2fog(x) = 4(kx+2) + 1 = 4kx + 9gof(x) = k(4x + 1) + 2 = 4kx + k + 2fog(x) = g of (x) ⇒ g = k + 2 ⇒ k = 723. What is the minimum value of the functionf(x) = log₁₀(x² + 2x + 11)?(a) 0(b) 1(c) 2(d) 10Correct Answer: (b) 1Solution:24. Which one of the following is correct regarding(a) Limits exists and is equal to 1(b) Limits exists and is equal to 0(c) Limits exists and is equal to -1(d) Limit does not existCorrect Answer: (d) Limit does not existSolution:25. What is the maximum value of the a cos x + b sin x + c?(a)(b)(c)(d)Correct Answer: (b)Solution:26. If f(2x) = 4x²+ 1 then for how many real values of x will f (2x) be the GM of f (x) and f (4x) ?(a) Four(b) Two(c) One(d) NoneCorrect Answer: (c) OneSolution:27. If f(x) = [x]² - 30[x] + 221 = 0, where [x] is the greatest integer function, then what is the sum of all integer solutions?(a) 13(b) 17(c) 27(d) 30Correct Answer: (d) 30Solution:28. If f(x) = 9x - 8√x such that g(x) = f(x) - 1 then which one of the following is correct?(a) g(x) = 0 has no real roots(b) g(x) = 0 has only one real root which is an integer(c) g(x) = 0 has two real roots which are integers(d) g(x) = 0 has only one real root which is not an integerCorrect Answer: (b) g(x) = 0 has only one real root which is an integerSolution:29. Find ?(a) -1(b) 0(c) 1/2(d) 1Correct Answer: (b) 0Solution:30. Let f(x) f(y) = f(xy) for all real x, y. If f(2) = 4, then what is the value of of f(1/2) ?(a) 1/4(b) 1/2(c) 1(d) 4Correct Answer: (a) 1/4Solution:Submit Quiz« Previous12345Next »