Mathematics (Solved Paper 2024 – II) (51 to 100)

Total Questions: 50

41. Find the value

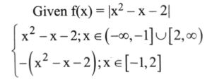
Let f(x) = |x² - x - 2|.

Correct Answer: (d) 10/3
Solution:

42. Find the value

Let f(x) = |x² - x - 2|.

Correct Answer: (b) 3
Solution:

43. Consider the following statements:

A. f(t) is an odd function.

B. g(t) is an odd function.

Which of the statements given above is/are correct?

Correct Answer: (c) Both A and B
Solution:Both statements I and II are correct.

44. Find the value

Correct Answer: (b) 0
Solution:

We know that g(t) is odd function there 

45. What is h'(0) equal to?

Let f : (- 1, 1) → R be a differentiable function with f(0) = - 1 and f' ' (0) = 1 Let h(x) = f (2 f(x) + 2) and g(x) = (h(x))².

Correct Answer: (d) 2
Solution:Let f : (-1,1) → R be a differentiable function with f(0)

= - 1 and f ' (0) = 1

h(x) = f(2f (n) + 2

Differentiate both side w.r.t x

h' (x) = f '(2f(x) + 2) 2 f' (x)

h' 0 = f ' (2f(0) + 2) . 2f ' (0) = f ' (-2 + 2). 2 (1)

= f ' (0). 2 = (1). 2 = 2[ f(0) = -1 and f '(0) = 1]

46. What is g'(0) equal to?

Let f : (- 1, 1) → R be a differentiable function with f(0) = - 1 and f' ' (0) = 1 Let h(x) = f (2 f(x) + 2) and g(x) = (h(x))².

Correct Answer: (a) -4
Solution:g(n) = (h(x))²

Differentiate both side w.r.t x

g ' (x) = 2( h (x)) . h'(x)

g '(0) = 2 (h(0)) . h'(0)

[h'(0) = 2]

[f '(0) = - 1]

= 2f( 2 + 10) + 2) . 2

= 2f( 2(-1) + 2 ) = 2 f(0) . 2 = (-2) . 2 = - 4

47. Find the value

Correct Answer: (c) In 2
Solution:

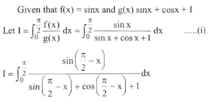
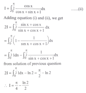
48. What is I equal to?

Correct Answer: (c) π/4 - (In 2)/2
Solution:

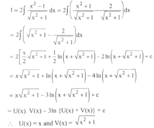
49. What is |U²(x) - V²(x)| equal to ?

Correct Answer: (b) 1
Solution:

50. What is U(x) V(x) equal to?

Correct Answer: (d)
Solution: