Mathematics (Solved Paper 2024 – II) (01 to 50)

Total Questions: 50

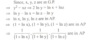
11. Let x > 1, y > 1, z > 1 be in GP. Then

1/1n x , 1/1+1n y , 1/1+1n z are

Correct Answer: (c) in HP
Solution:

12. If ω = - 1/2 + i √3/2 then what is

Correct Answer: (a) 0
Solution:

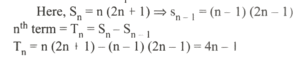
13. If the sum of the first n terms of a series is n(2n + 1) , then what is the nᵗʰ term?

Correct Answer: (a) 4n - 1
Solution:

14. In how many ways can the letters of the word INDIA be permutated such that in each combination, vowels should occupy odd positions?

Correct Answer: (b) 6
Solution:

15. The letters of the word EQUATION are arranged in such a way that all vowels as well as consonants are together. How many such arrangements are there?

Correct Answer: (c) 1440
Solution:

16. If n is a root of the equation x² + px + m = 0 and m is a root of the equation x² + px + n = 0 where m ≠ n, then what is the value of p + m + n ?

Correct Answer: (c) 1
Solution:Given, n is a root of x² + px + m = 0

⇒ n² + pn + m = 0       ....(i)

Given, m is a root of the equation x² + px + n = 0 ⇒ m²+ pm + n = 0 ...(ii)

Now subtracting Eq (ii) from Eq (i), we get

(n² - m²) + p(n - m) - (n - m) = 0

⇒ (n - m) [(n + m) + p - 1] = 0

⇒ n + m + p - 1 = 0 {given, n ≠ m }

⇒ n + m + p = 1

17. In how many ways can a student choose (n - 2) courses out of n courses if 2 courses are compulsory (n > 4) ?

Correct Answer: (d) (n-2) (n-3)/2
Solution:

18. find value

Correct Answer: (a) -10000
Solution:

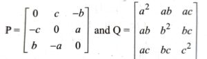
19. Consider the following in respect of the matrices

A. PQ is null a matrix.

B. QP is an identity matrix of order 3.

C. PQ = QP

which of the above is/are correct?

Correct Answer: (c) A and C
Solution:

20. If P is a skew-symmetric matrix of order 3, then what is det(P) equal to?

Correct Answer: (b) 0
Solution:We know that, determinant of any skew symmetric matrix with odd order is always zero.

Hence, determinant of skew symmetric matrix (3 × 3) will be zero.