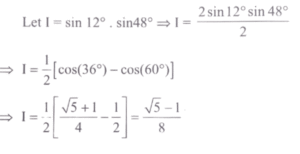
Mathematics (Solved Paper 2024 – II) (01 to 50)Total Questions: 5021. If 4sin⁻¹ x + cos⁻¹ x = π then what is sin⁻¹ x + 4cos⁻¹ x equal to?(a) π/2(b) π(3) 3π/2(d) 2πCorrect Answer: (3) 3π/2Solution:22. What is cot² (sec⁻¹) + tan² (cosec⁻¹ 3) equal to?(a) 11/12(b) 11/24(c) 7/24(d) 1/24Correct Answer: (b) 11/24Solution:23. In a triangle ABC, a/(cos A) = b/(cos B) = c/(cos C)What is the area of the triangle if a= 6cm ?(a) 9√3 square cm(b) 12 square cm(c) 18√3 square cm(d) 24 square cmCorrect Answer: (a) 9√3 square cmSolution:24. The of the equation 7x² - 6x + 1 = 0 are tan α and tan β, where 2α and 2β are the angles of a triangle. Which one of the following is correct?(a) The triangle is equilateral(b) The triangle is isosceles but not right-angled(c) The triangle is right-angled(d) The triangle is right-angled isoscelesCorrect Answer: (c) The triangle is right-angledSolution:25. In a triangle ABC, <A = 75° and <B = 45° What is 2a - b equal to?(a) c(b) √2c(c) 2c(d) 2√cCorrect Answer: (b) √2cSolution:26. What is the number of solutions of the equation cot 2x. cot 3x = 1 for 0 < x < π ?(a) Only one(b) Only two(c) Only five(d) More than fiveCorrect Answer: (c) Only fiveSolution:27. What is the general solution of cos¹⁰⁰ x - sin¹⁰⁰ x = 1 ?(a) nπ(b) (2n + 1) π(c) 2nπ(d) (2n + 1) π/2(e) where n is an integer.Correct Answer: (a) nπSolution:28. In a triangle ABC, tanA + tanB + tanC = k What is the value of cot A cot B cot C ?(a) 0.5k(b) 1/k(c) 3/k(d) 1/k³Correct Answer: (b) 1/kSolution:29. What is sin12° sin 48°equal to?(a) √5 - 1)/4(b) √5 + 1)/4(c) √5 - 1)/8(d) √5+ 1)/8Correct Answer: (c) √5 - 1)/8Solution:30. What is (cos 17° - sin 17°)/(cos 17° + sin 17°) equal to?(a) tan 34°(b) cot 34°(c) tan 62°(d) cot 62°Correct Answer: (d) cot 62°Solution:Submit Quiz« Previous12345Next »