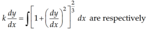
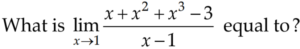
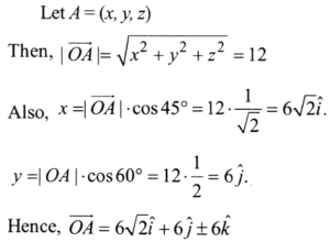
Mathmatics NDA/NA Solved Paper 2020-I (100-120)Total Questions: 2011. Solve the following equation?(a)(b)(c)(d)Correct Answer: (a)Solution:12. Solve the following equation?(a)(b)(c)(d)Correct Answer: (c)Solution:13. Solve the following equation?(a) 21(b) 25(c) 31(d) 36Correct Answer: (c) 31Solution:14. Solve the following equation?(a) 3(b) 4(c) 6(d) 8Correct Answer: (a) 3Solution:15. Solve the following equation?(a) 1(b) - 1(c) 5(d) - 5Correct Answer: (b) - 1Solution:16. Solve the following equation?(a) 1(b) 2(c) 3(d) 6Correct Answer: (d) 6Solution:17. The radius of a circle is increasing at the rate of 0.7 cm/sec. What is the rate of increase of its circumference ?(a) 4.4 cm/sec(b) 8.4 cm/sec(c) 8.8 cm/sec(d) 15.4 cm/secCorrect Answer: (a) 4.4 cm/secSolution:18. Solve the following equation?(a) 2/3(b) 4/3(c) 8/3(d) 4Correct Answer: (c) 8/3Solution:19. The order and degree of the differential equation(a) 1 and 1(b) 2 and 3(c) 2 and 4(d) 1 and 4Correct Answer: (b) 2 and 3Solution:20. Solve the following equation?(a) - 1(b) Zero(c) - e(d) -(1/e)Correct Answer: (a) - 1Solution:Submit Quiz« Previous12