Mathmatics NDA/NA Solved Paper 2020-I (51-100)

Total Questions: 50

31. Solve the following equation?

Correct Answer: (a) - 3
Solution:

32. Consider the following statements :

(1) The function f(x) = ln x increases in the interval (0, ∞).
(2) The function f(x) = tan x increases in the interval

Which of the above statements is/are correct ?

Correct Answer: (c) Both 1 and 2
Solution:

(1) Graph of ⨍(𝔁) = In(𝔁)

This is increasing function in the interval (0, ∞)
(2) Graph of ⨍(𝔁) = tan𝔁.

33. Which one of the following is correct in respect of the graph of y = (1/𝓍-1) ?

Correct Answer: (b) The domain is {x ∈ ℝ |x β‰  1}, the range is {y ∈ ℝ |y β‰  0} and the graph intersects y-axis at (0, -1).
Solution:

34. What is the solution of the differential equation ln (dy/d𝓍) = 𝓍 ?

Correct Answer: (a) y = eΛ£ + c
Solution:

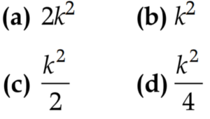
35. Let β„“ be the length and b be the breadth of a rectangle such that β„“ + b = k. What is the maximum area of the rectangle ?

Correct Answer: (d)
Solution:

36. The numbers 4 and 9 have frequencies 𝓍 and (𝓍 - 1) respectively. If their arithmetic mean is 6, then what is the value of 𝓍 ?

Correct Answer: (b) 3
Solution:

37. If three dice are rolled under the condition that no two dice show the same face, then what is the probability that one of the faces is having the number 6 ?

Correct Answer: (c) 1/2
Solution:

Number of ways in which one of the face having the number 6 and no two dice show the same number.
(1,2,6), (1,3,6), (1,4,6), (1,5,6), (2,3,6), (2,4,6), (2,5,6), (3,4,6), (3,5,6)..........
Total favourable case = 20+20+20 = 60.
Number of total output when three top faces of three dice shows different number = 6 Γ— 5 Γ— 4 = 120.
∴ Required probability = 60/120 = 1/2.

38. Solve the following equation ?

Correct Answer: (c) P(A βˆͺ B) > P(A)+P(B)
Solution:

39. The sum of deviations of n number of observations measured from 2.5 is 50. The sum of deviations of the same set of observations measured from 3.5 is - 50. What is the value of n?

Correct Answer: (d) 100
Solution:

Number of data set = n.
Mean = 2.5
Sum of deviations = 50
Again, sum of deviations, when mean = 3.5 is -50.
So, (3.5 - 2.5) Γ— n = 50 - (-50)
∴ n = 100

40. A data set of n observations has mean 2M, while another data set of 2n observations has mean M. What is the mean of the combined data sets ?

Correct Answer: (d) 4M/3
Solution: