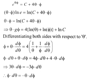
Mathmatics NDA/NA Solved Paper 2020-I (51-100)Total Questions: 5041. If f(π) = 3πΒ² - 5x + p and f(0) and f(1) are opposite in sign, then which of the following is correct ?(a) - 2 < p < 0(b) - 2 < p < 2(c) 0 < p < 2(d) 3 < p < 5Correct Answer: (c) 0 < p < 2Solution:42. Solve the following equation?(a) ΞΈdΟ(b) - ΞΈdΟ(c) 4ΞΈdΟ(d) -4ΞΈdΟCorrect Answer: (b) - ΞΈdΟSolution:43. Solve the following equation?(a)(b)(c)(d)Correct Answer: (b)Solution:44. Solve the following equation?(a) 1/4(b) 1/2(c) 1(d) 2Correct Answer: (b) 1/2Solution: 45. Let y = 3πΒ² + 2. If x changes from 10 to 10.1, then what is the total change in y ?(a) 4.71(b) 5.23(c) 6.03(d) 8.01Correct Answer: (c) 6.03Solution:46. Solve the following equation?(a) should be 0(b) should be 1(c) should be 2(d) cannot be determinedCorrect Answer: (b) should be 1Solution:47. The solution of the differential equation dy = (1 + yΒ²) dπ is(a) y = tanπ + c(b) y = tan (π + c)(c) tanβ»ΒΉ (y + c) = π(d) tanβ»ΒΉ (y + c) = 2πCorrect Answer: (b) y = tan (π + c)Solution:48. Solve the following equation?(a)(b)(c)(d)Correct Answer: (c)Solution: 49. What is the domain of the function f(π) = cosβ»ΒΉ (π - 2) ?(a) [- 1, 1](b) [1, 3](c) [0, 5](d) [- 2, 1]Correct Answer: (b) [1, 3]Solution:50. What is the area of the region enclosed between the curve yΒ² = 2π and the straight line y = π ?(a) 1/2(b) 1(c) 2/3(d) 2Correct Answer: (c) 2/3Solution: Submit Quiz« Previous12345