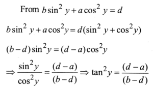
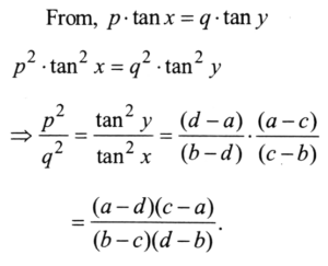
Mathmatics NDA/NA Solved Paper 2020-I (1-50)Total Questions: 5011. Under which condition, are the points (a, b), (c, d) and (a - c, b - d) collinear ?(a) ab = cd(b) ac = bd(c) ad = bc(d) abc = dCorrect Answer: (c) ad = bcSolution:Given points (a,b), (c,d) and (a-c, b-d) are collinear, if a(d-b-d) + b(a-c-c) + 1(c(b-d) - d (a-c)) = 0 2ad - ab + ab - 2ac + bc -ad = 0 ⇒ ad - bc = 0 ∴ ad = bc.12. Let ABC be a triangle. If D(2, 5) and E(5, 9) are the mid-points of the sides AB and AC respectively, then what is the length of the side BC?(a) 8(b) 10(c) 12(d) 14Correct Answer: (b) 10Solution:13. If the foot of the perpendicular drawn from the point (0, k) to the line 3𝓍 - 4y - 5 = 0 is (3, 1), then what is the value of k ?(a) 3(b) 4(c) 5(d) 6Correct Answer: (c) 5Solution:Slope of the line, 3𝓍 - 4y - 5 = 0 is m = 3/4 Slope of any perpendicular to 3𝓍 - 4y - 5 = 0 m' = -(3/4). Now required line passes through the points (0,k) and (3,1) ∴ (k-1)/(0-3) = -(4/3) ⇒ K = 5.14. What is the obtuse angle between the lines whose slopes are 2 - √3 and 2 + √3 ?(a) 105°(b) 120°(c) 135°(d) 150°Correct Answer: (b) 120°Solution:15. If 3𝓍 - 4y - 5 = 0 and 3𝓍 - 4y + 15 = 0 are the equations of a pair of opposite sides of a square, then what is the area of the squares ?(a) 4 square units(b) 9 square units(c) 16 square units(d) 25 square unitsCorrect Answer: (c) 16 square unitsSolution:We know that pair of opposite sides of my square are parallel. So, distance between two parallel sides = Side length of the square ∴ Side length of the square 16. What is tan²𝓍 equal to?(a)(b)(c)(d)Correct Answer: (a)Solution:17. What is d-a/b-d equal to?(a) sin²y(b) cos²y(c) tan²y(d) cot²yCorrect Answer: (c) tan²ySolution:18. What is p²/q² equal to?(a)(b)(c)(d)Correct Answer: (b)Solution:19. What is (t₃ - t₅)/(t₅ - t₇) eqaul to ? (a)(b)(c)(d)Correct Answer: (a)Solution:20. What is t₁² - t₂ equal to ?(a) cos 2θ(b) sin 2θ(c) 2 cos θ(d) 2 sin θCorrect Answer: (b) sin 2θSolution:Submit Quiz« Previous12345Next »