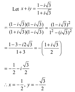
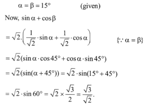
Mathmatics NDA/NA Solved Paper 2020-I (1-50)Total Questions: 5021. What is the value of t₁₀ where θ = 45° ?(a) 1(b) 1/4(c) 1/16(d) 1/32Correct Answer: (c) 1/16Solution: 22. What is the value of sin α + cos β?Let α = β = 15°. (a)(b)(c)(d)Correct Answer: (d)Solution:23. What is the value of sin 7α - cos 7β?Let α = β = 15°. (a)(b)(c)(d)Correct Answer: (d)Solution:24. What is sin (α + 1°) + cos (β + 1°) equal to?Let α = β = 15°. (a)(b)(c)None of the aboveCorrect Answer: None of the aboveSolution: 25. Solve the following quuestion.(a) 0(b) 1/2(c) 1(d) 2Correct Answer: (c) 1Solution:26. If A is a matrix of order 3 × 5 and B is a matrix of order 5 × 3, then the order of AB and BA will respectively be(a) 3 × 3 and 3 × 3(b) 3 × 5 and 5 × 3(c) 3 × 3 and 5 × 5(d) 5 × 3 and 3 × 5Correct Answer: (c) 3 × 3 and 5 × 5Solution:27. If p² , q² and r² (where p, q, r > 0) are in GP, then which of the following is/are correct ?(1) p, q and r are in GP. (2) ln p, ln q and ln r are in AP. Select the correct answer using the code given below:(a) 1 only(b) 2 only(c) Both 1 and 2(d) Neither 1 nor 2Correct Answer: (c) Both 1 and 2Solution:28. If cot α and cot β are the roots of the equation 𝓍² - 3𝓍 + 2 = 0, then what is cot (α + β) equal to?(a) 1/2(b) 1/3(c) 2(d) 3Correct Answer: (b) 1/3Solution:29. The roots α and β of a quadratic equation, satisfy the relations α + β = α² + β² and αβ= α² β² . What is the number of such quadratic equations ?(a) 0(b) 2(c) 3(d) 4Correct Answer: (c) 3Solution: 30. What is the argument of the complex number(a) 240°(b) 210°(c) 120°(d) 60°Correct Answer: (a) 240°Solution:Submit Quiz« Previous12345Next »