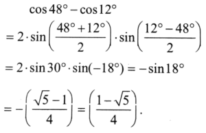
Mathmatics NDA/NA Solved Paper 2020-I (1-50)Total Questions: 5041. The value of ordinate of the graph of y = 2 + cos𝓍 lies in the interval(a) [0, 1](b) [0, 3](c) [- 1, 1](d) [1, 3]Correct Answer: (d) [1, 3]Solution:42. What is the value of 8 cos 10°. cos 20° . cos 40° ?(a) tan 10°(b) cot 10°(c) cosec 10°(d) sec 10°Correct Answer: (b) cot 10°Solution: 43. What is the value of cos 48° - cos 12° ?(a)(b)(c)(d)Correct Answer: (b)Solution:44. Consider the following statements :(1) If ABC is a right-angled triangle, rightangled at A and if sin B = 1/3 , then cosec C = 3. (2) If b cos B = c cos C and if the triangle ABC is not right-angled, then ABC must be isosceles. Which of the above statements is/are correct ?(a) 1 only(b) 2 only(c) Both 1 and 2(d) Neither 1 nor 2Correct Answer: (b) 2 onlySolution: 45. Consider the following statements :(1) If in a triangle ABC, A = 2B and b = c, then it must be an obtuse-angled triangle. (2) There exists no triangle ABC with A = 40°, B = 65° and a/c = sin 40° cosec 15°. Which of the above statements is/are correct ?(a) 1 only(b) 2 only(c) Both 1 and 2(d) Neither 1 nor 2Correct Answer: (b) 2 onlySolution:Consider a right angle triangle ABC, right angle at A and B = C = 45º. Then, b = c is also true. Hence, for the given condition, △ABC must not be an obtuse-angled triangle. Hence, △ABC is not possible. Thus, statements (2) is correct.46. Solve the following equation? Which one of the following is correct ? (a)(b)(c)(d)Correct Answer: (c)Solution:A square M matrix is said to be Hermitian (or self-adjoint) if it is equal to its. Own Hermitian conjugate, i.e. 47. Solve the following equation?(a) 180(b) 120(c) 90(d) 72Correct Answer: (a) 180Solution:48. Solve the following equation?(a) 32(b) 64(c) 2048(d) 4096Correct Answer: (b) 64Solution:49. If C(20, n + 2) = C(20, n - 2), then what is n equal to?(a) 18(b) 25(c) 10(d) 12Correct Answer: (c) 10Solution:50. For how many values of k, is the matrix(a) Only one(b) Only two(c) Only four(d) InfiniteCorrect Answer: (d) InfiniteSolution:For singular matrix, Hence, for all values of K, given matrix is singular matrix.Submit Quiz« Previous12345