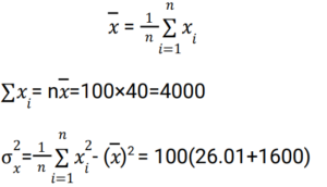
Mean, Median & Mode (Railway Maths) (Part – III)Total Questions: 5041. Find the sum of the mean, median and mode of the given data. 9, 35, 20, 25, 25, 15, 25 [RRB NTPC 30/01/2021 (Morning) ](a) 50(b) 47(c) 75(d) 72Correct Answer: (d) 72Solution:42. The given data is arranged in ascending order and its median is 17. Find the value of x. 8, 10, 12, 15, x, x + 2, 20, 25, 30, 32 [RRB NTPC 30/01/2021 (Morning)](a) 19(b) 18(c) 17(d) 16Correct Answer: (d) 16Solution:43. Three positive integers a, b and c are such that their average is 35 and a ≤ b ≤ c. If the median is (a + 18), then what is the lowest possible value of c? [RRB NTPC 31/01/2021 (Morning)](a) 42(b) 40(c) 41(d) 39Correct Answer: (c) 41Solution:44. The mean of the values 1, 2, 3, 4, …, n with respective frequencies 1, 2, 3, 4, …, n is: [RRB NTPC 02/02/2021 (Morning)](a) (n − 1)/2(b) (2n − 1)/3(c) (n + 1)/2(d) (2n + 1)/3Correct Answer: (d) (2n + 1)/3Solution:45. For the data set 1, 2, 3, 5, 2, 3, 4, 6, 6, 8, 3, 4, 5 which of the following options is INCORRECT? [RRB NTPC 09/02/2021 (Morning)](a) Median > Mode(b) Mean = Median(c) Mode < Mean(d) Mean = ModeCorrect Answer: (d) Mean = ModeSolution:46. The mean and standard deviation of 100 observations were calculated as 40 and 5.1 respectively by a student who took 50 instead of 40 for one observation. What is the correct mean and standard deviation? [RRB NTPC 10/02/2021 (Evening)](a) 39.9, 5(b) 39.09, 5(c) 39.9, 50(d) 39.0, 5Correct Answer: (a) 39.9, 5Solution:47. Nikhil has a mean score of 95 in Maths after 4 quizzes. Then he scored 0 in the next Maths quiz. The new mean score is. [RRB NTPC 11/02/2021 (Morning)](a) 67.2(b) 76(c) 76.2(d) 67Correct Answer: (b) 76Solution:48. The mass of five meteorites found on earth are 23.5 kg, 15 kg, 20 kg, 22 kg and 16 kg. For this data, which of the following measures is 19.3 kg? [RRB NTPC 11/02/2021 (Morning)](a) Mode(b) Mean Deviation(c) Mean(d) MedianCorrect Answer: (c) MeanSolution:49. The mean of a and b is 350 and the ratio of a and b is 2 : 5. What is the value of b − a? [RRB NTPC 12/02/2021 (Morning)](a) 400(b) 330(c) 300(d) 325Correct Answer: (c) 300Solution:50. The mean of 6 numbers is 18. If one more number is included, the mean of the 7 numbers will be 20. What is the number that is included? [RRB NTPC 15/02/2021 (Morning) ](a) 10(b) 20(c) 32(d) 30Correct Answer: (c) 32Solution:Submit Quiz« Previous12345