Mean, Median & Mode (Railway Maths) (Part – IV)

Total Questions: 50

1. The mean and median of 7 observations are 10 and 9, respectively. If 1 is subtracted from each observation, then the new mean and the new median will respectively be: [RRB NTPC 16/02/2021 (Morning)]

Correct Answer: (c) 9 and 8
Solution:

Total number of observation = 10 , Mean = 10 , median = 9
When , same number (1 ) , subtract from each observation
Mean = 10 - 1 = 9 and median = 9 -1 =8

2. The values of the mode and the mean are 7.52 and 9.83 respectively in a moderately asymmetrical distribution. Find the median of the distribution. [RRB NTPC 16/02/2021 (Evening)]

Correct Answer: (d) 9.06
Solution:

3. The mean of three numbers is 32. The range of this data set is 28 while the difference between the two smallest numbers is 8. The greatest of the three numbers is: [RRB NTPC 17/02/2021 (Morning)]

Correct Answer: (a) 48
Solution:

4. Three positive integers, a, b, and c, are such that their average is 28 and a ≤ b ≤ c. If the median is (a + 16), then what is the least possible value of c? [RRB NTPC 17/02/2021 (Evening)]

Correct Answer: (a) 34
Solution:

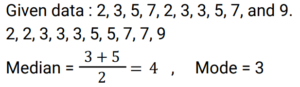
5. Find the median and the mode of the following data: 2, 3, 5, 7, 2, 3, 3, 5, 7, and 9. [RRB NTPC 22/02/2021 (Morning)]

Correct Answer: (a) 4, 3
Solution:

6. The median of a set of 7 distinct observations is 21.5. If each of the largest 3 observations of the set is increased by 4, then the median of the new set- [RRB NTPC 23/02/2021 (Morning)]

Correct Answer: (c) will remain the same as that of the original set
Solution:

Total numbers = 7
Median will be middle number = 4th
number , After the median 3 largest
numbers come so by increasing those
numbers there will be no effect on median.

7. 10 is the mean of a set of 7 observations and 5 is the mean of another set of 3 observations. The mean of the combined set is: [RRB NTPC 27/02/2021 (Morning)]

Correct Answer: (a) 8.5
Solution:

8. The value of mode and mean are 12.5 and 15.2 respectively, in a moderately asymmetrical distribution. Find the median of the distribution. [RRB NTPC 27/02/2021 (Evening) ]

Correct Answer: (c) 14.3
Solution:

9. In a moderately asymmetrical distribution, the values of the mode and the mean are 31.5 and 34.2 respectively. Find the median of the distribution. [RRB NTPC 01/03/2021 (Evening) ]

Correct Answer: (c) 33.3
Solution:

10. The mean of the marks scored by 50 students was found to be 40. Later on it was discovered that a score of 43 was misread as 23. The correct mean is: [RRB NTPC 02/03/2021 (Morning)]

Correct Answer: (c) 40.4
Solution: